25 октября 2022
C. Б. Попов
ГАИШ МГУ
Планеты у радиопульсаров
Первыми телами планетной массы, обнаруженными вне Солнечной системы
стали планеты, вращающиеся вокруг радиопульсара.
Это произошло в 1992 году. Однако, в отличие от последовавшего за этим
обнаружения планет вокруг нормальных звезд, пульсарная система
остается во многом уникальной.
На семинаре будет дан обзор данных наблюдений объектов планетных масс
вокруг радиопульсаров, описаны новые поиски, а также детально
рассмотрены модели формирования планет в первой обнаруженной системе
вокруг радиопульсара PSR 1257+12.

Запись доклада
Презентация
11 октября 2022
Вадим Кравцов
Университет Турку
Рентгеновские двойные в поляризованном свете: наблюдательные проявления и их моделирование
Черные дыры звездной массы в рентгеновских двойных являются естественными лабораториями для изучения взаимодействия материи и излучения в экстремальных физических условиях. Одним из эффективных и часто упускаемых из виду способов их изучения является оптическая поляриметрия, поскольку поляризация несет информацию о геометрических свойствах излучающей/рассеивающей среды, которая в противном случае может быть недоступна наблюдателю. В своём докладе я представлю результаты серии поляриметрических наблюдений различных рентгеновских двойных и постараюсь пролить свет на различные подходы в их интерпретации и моделировании.

Иллюстрация геометрии в двойной системе с прецессирующим аккреционным диском вокруг черной дыры
Презентация
27 сентября 2022
А.Л.Авакян, Г.В.Липунова, К.Л.Маланчев
ГАИШ МГУ
Тепловой ветер от аккреционного диска во время вспышки в маломассивной рентгеновской двойной: эволюция истечения и его влияние на ход вспышки
Теоретические модели аккреционных дисков и данные из наблюдений показывают, что рентгеновское излучение внутренней части аккреционного диска может облучать его внешнюю поверхность и индуцировать тепловой (или "Комптоновский") ветер. Ветер, в свою очередь, уносит массу и угловой момент диска, влияя на его эволюцию. В данной работе мы исследуем воздействие теплового ветра на кривые блеска вспышек рентгеновских двойных систем. По итогам численных моделирований аккреции нестационарного диска в присутствии ветра мы получаем новые оценки параметра вязкости α, которые смещены вниз (до 10 раз, в зависимости от жёсткости облучающего рентгена) по сравнению со сценарием без ветра. Также в работе мы проводим моделирование вспышки BH LMXB 4U 1543-47 2002 года с учетом влияния теплового ветра. Отток массы в ветре для данной системы сравним по порядку с темпом аккреции на черную дыру в пике вспышки. В свою очередь, новая оценка параметра вязкости α примерно в два раза ниже предыдущей, то есть в модели без ветра. Помимо этого, мы также анализируем эволюцию колоночной плотности NH(t) вещества в ветре во время вспышки.

Темп аккреции на черную дыру во вспышке рентгеновской новой 4U 1543-47 (2002 г) в моделях с ветром и без ветра.
Значения α-параметра указаны в легенде. Точки - результат спектрального моделирования наблюдательных данных. Также показана эволюция полного темпа теплового ветра от аккреционного диска.
Запись доклада
20 сентября 2022
Н.И.Шакура, К.А.Постнов, Д.А.Колесников, Г.В.Липунова
ГАИШ МГУ
О появлении нелокальной магнито-ротационной неустойчивости в кеплеровских аккреционных дисках
Основной причиной возникновения турбулентности в
астрофизических аккреционных дисках считается магнито-ротационная неустойчивость (MRI). В рамках нелокального подхода мы проводим модальный анализ малых возмущений в кеплеровских течениях идеального газа с постоянным вертикальным магнитным полем, приводящих к магнито-вращательной неустойчивости.
В общем случае моды MRI описываются дифференциальным уравнением типа Шредингера с некоторым эффективным потенциалом, включающим «отталкивающие» (1/r2) и «притягивающие» (-1/r3) члены. Эти моды квантованы. В мелких потенциалах нет стационарных «энергетических уровней». В тонких кеплеровских аккреционных дисках длины волн возмущения λ=2π/kz меньше полутолщины диска h только в «глубоких» «потенциальных ямах».
Мы обнаружили, что MRI развивается, если магнитное поле слабее некоторого критического значения.
В тонких аккреционных дисках при низкой фоновой альфвеновской скорости cA ≪ cA,cr инкремент MRI-неустойчивости ω уменьшается по сравнению со значением ω ≈ -
√ 3
i cAkz, полученным при анализе локальных возмущений.
Также мы впервые исследуем случай радиально-переменного фонового магнитного поля.

Схема эффективного потенциала уравнения малых возмущений. Показаны первые три энергетических уровня
(n = 0, 1, 2) и соответствующие возмущения (зеленым цветом)
Запись доклада
17 мая 2022
Елена Дмитриевна Емцова
ГАИШ МГУ
Изучение свойств телепараллельной гравитации.
Телепараллельные теории гравитации становятся все более популярными в последние годы. Это включает как случай переформулировки самой общей теории относительности, известной как телепараллельный эквивалент общей теории относительности (TEGR), так и различные модифицированные теории гравитации, связанные с кручением, например f(T)-гравитация и другие. TEGR является наиболее изученной среди телепараллельных теорий и дает возможность построения различных новых сохраняющихся величин и решения проблемы определения тензора энергии-импульса, которая, как известно, является сложной в стандартной общей теории относительности. Существует два подхода к построению сохраняющихся величин в TEGR - прямое интегрирование уравнений поля и построение сохраняющихся величин и законов сохранения с помощью теоремы Нетер. Оба подхода имеют ряд особенностей, преимуществ и недостатков, которые мы подробно обсуждаем. Мы выводим законы сохранения и сохраняющиеся величины в TEGR с использованием теоремы Нетер. Все величины представлены в удобной тензорной форме. С помощью новых сохраняющихся величин рассчитаны энергия, измеряемая свободно падающим наблюдателем во вселенной Фридмана, в пространстве (анти-) де Ситтера и в поле черной дыры (ЧД) Шварцшильда; полную массу неподвижной ЧД Шварцшильда, массу и момент движущейся ЧД Шварцшильда. Введено обобщенное понятие калибровки в TEGR, с использованием которого анализ сохраняющихся величин становится конструктивным. Мы обнаруживаем проблему неоднозначности вычисления тензорных величин в TEGR, которая влияет на физические значения сохраняющихся величин и подробно сравниваем ее с аналогичной проблемой в f(T)-гравитации.
Презентация
26 апреля 2022
О.С. Сажина, И.И. Булыгин, А.М. Черепащук
ГАИШ МГУ
Исследование спектральных характеристик и статистических свойств фликкер-шума на примере рентгеновской новой A0620-00
Физическая природа фликкер-шума не до конца изучена, а его исследование представляется актуальным для широкого класса астрофизических задач, в том числе, задач о двойных системах. Мы представляем методологические исследование спектральных характеристик и подробный статистический анализ фликкер-шума на примере двух выборок данных за 2016 и 2017 гг. по рентгеновской новой A0620-00. Полученные несколькими независимыми методами результаты указывают на природу фликкер-шума как апериодических явлений в звездных атмосферах и в областях взаимодействия звезд в двойных системах, в том числе явлений вспышечной природы. В частности, показано, что фликкер-шум статистически достоверно описывается распределениями неотрицательных случайных величин (Вейбулл, гамма), что роднит его с атмосферными процессами в метеорологии, а также геологическими процессами (землетрясениями).

Анализ статистического распределения фликкер-шума на предмет соответствия распределению Вейбулла.
Презентация
26 апреля 2022
Полина Голышева
ГАИШ МГУ
Отчет
В связи с избранием на должность.
19 апреля 2022
Александр Чеховской
Northwestern University, USA
Численное моделирование аккреции и истечений вблизи черных дыр
После обзора физики образования релятивистских струй я представлю недавние результаты численного моделирования аккреции черных дыр в широком диапазоне контекстов, от рентгеновских двойных систем до активных ядер галактик, сосредоточив свое внимание на ингредиентах, необходимых для образования струй.

Крупномасштабная галактическая аккреция на быстро вращающуюся сверхмассивную черную дыру выдувает пузыри и вызывает шоки в окружающей среде.
Запись доклада
19 апреля 2022
Полина Дядина
ГАИШ МГУ
Отчет
В связи с избранием на должность.
5 апреля 2022
Игорь Чилингарян
ГАИШ МГУ
Активные черные дыры промежуточной массы и легкие сверхмассивные черные дыры в ядрах галактик: скейлинговые соотношения, родительские галактики, каналы роста.
Почти каждая массивная галактика содержит сверхмассивную черную дыру (СМЧД/SMBH) в своем ядре. Происхождение СМЧД остается неясным: они могли возникнуть либо из массивных «зародышей» (105-6 M☉), образованных прямым коллапсом газовых облаков в ранней Вселенной или из меньших (100 M☉) звездных масс ЧД. Последний канал оставит после себя многочисленные ЧД промежуточной массы (IMBHs, 102-5M☉). Используя интеллектуальный анализ данных широкоугольных обзоров неба и применяя специальный анализ оптических спектров, мы идентифицировали сотни кандидатов IMBH, которые находятся в центрах галактик и в настоящее время аккрецируют газ, проявляя себя в оптике как AGN I типа. К настоящему моменту 25 надежных кандидатов IMBH были подтверждены рентгеновскими наблюдениями. В ходе последующей кампании мы идентифицировали 7 IMBH, аккрецирующих близко к пределу Эддингтона. Мы также повторно измерили вириальные массы примерно для 120 "легких" ЧД, массой менее 106 M☉, и построили скейлинговые соотношения между сверхмассивными ЧД и их родительскими галактиками. Мы обсуждаем, как различные каналы роста черных дыр и набор массы родительскими галактиками влияют на наблюдаемые скейлинговые соотношения. Существование многочисленных IMBH в ядрах галактик говорит в пользу сценария формирования массивной ЧД из затравки звездной массы.
Презентация
29 марта 2022
Александр Плавин
АКЦ ФИАН, МФТИ
FRB 121102: изменчивая поляризация и рассеяние в экстремальной среде.
Проведенные наблюдения вспышек FRB 121102 выявили сильные различия поляризационных свойств между разными частотами. Эти отличия можно объяснить рассеянием излучения в экстремальной ионизованной среде, окружающей источник. При этом постоянное радиоизлучение из данной области оказалось стабильным по всем своим параметрам, как показали долговременные РСДБ наблюдения. Сочетание временной и частотной переменности вспышек со стабильностью постоянного излучения представляет сложности для объяснения в рамках существующих моделей.

Величины линейной поляризации вспышек FRB 121102 и их описание феноменологической моделью.
Публикация
Презентация
29 марта 2022
С.Б.Попов
ГАИШ МГУ
Отчет за пять лет
В связи с переизбранием на должность.
Запись доклада
Презентация
22 марта 2022
Сергей Хайбрахманов
УрФУ, ЧелГУ
Остаточное магнитное поле аккреционных дисков молодых звезд.
Доклад посвящен проблеме эволюции аккреционных дисков молодых звезд с остаточным крупномасштабным магнитным полем. Анализируются наблюдательные данные о магнитном поле аккреционных и протопланетных дисков молодых звезд. Излагаются основы теории остаточного магнитного поля. Представляется магнитогазодинамическая модель аккреционных дисков молодых звезд с остаточным крупномасштабным магнитным полем, разработанная Дудоровым и Хайбрахмановым. Приводятся и обсуждаются результаты расчетов интенсивности и геометрии крупномасштабного магнитного поля аккреционных дисков молодых звезд. Анализируется динамическое влияние магнитного поля на структуру аккреционных дисков. В рамках модели исследуется динамика магнитных силовых трубок, образующихся в областях интенсивной генерации магнитного поля, и ее связь с инфракрасной переменностью молодых звездных объектов.
Публикации по докладу
Презентация
15 марта 2022
С.В. Антипин, А.В. Додин, А.М. Зубарева и наблюдатели КГО ГАИШ
Фотометрические и спектральные наблюдения карликовой новой USNO-B1.0 1608-0016917
Будут представлены результаты фотометрических и спектральных наблюдений карликовой новой USNO-B1.0 1608-0016917. Главный вопрос для обсуждения: несовпадение периода переменности блеска системы и ее орбитального периода, определяемого по изменению лучевой скорости.

USNO-B1.0 1608-0016917. Фазовая кривая изменения лучевой скорости с периодом 0.153434 и фазовая кривая блеска с периодом 0.146558.
Презентация
22 февраля 2022
Анна Чашкина
Raymond & Beverly Sackler School of Physics & Astronomy,
Faculty of Exact Sciences,
Tel Aviv University, Israel
Диссипация энергии в джетах на различных масштабах
В наши дни джеты наблюдаются на различных масштабах: от нескольких гравитационных радиусов до сотен килопарсек. Разнообразие масштабов и времен переменности говорит нам о том, что существует несколько механизмов диссипации, преобразующих электромагнитную энергию в наблюдаемое излучение. В своем докладе я обсужу два возможных механизма: (1) диссипацию энергии в токовых слоях вблизи черной дыры и (2) kink-неустойчивость, которая, как считается, работает на расстояниях 105- 107 гравитационных радиусов от центральной черной дыры.
Презентация
Публикация
Видео симуляций

Меридиональный разрез джета и структура токового слоя в нелинейной фазе kink-неустойчивости (Ripperda, Chashkina+ 2022, in prep.)
Г.С. Бисноватый-Коган и Кривошеев (2012) Исследование механизмов нагрева джетов
на примере микроквазара SS 433(Eng)
8 февраля 2022
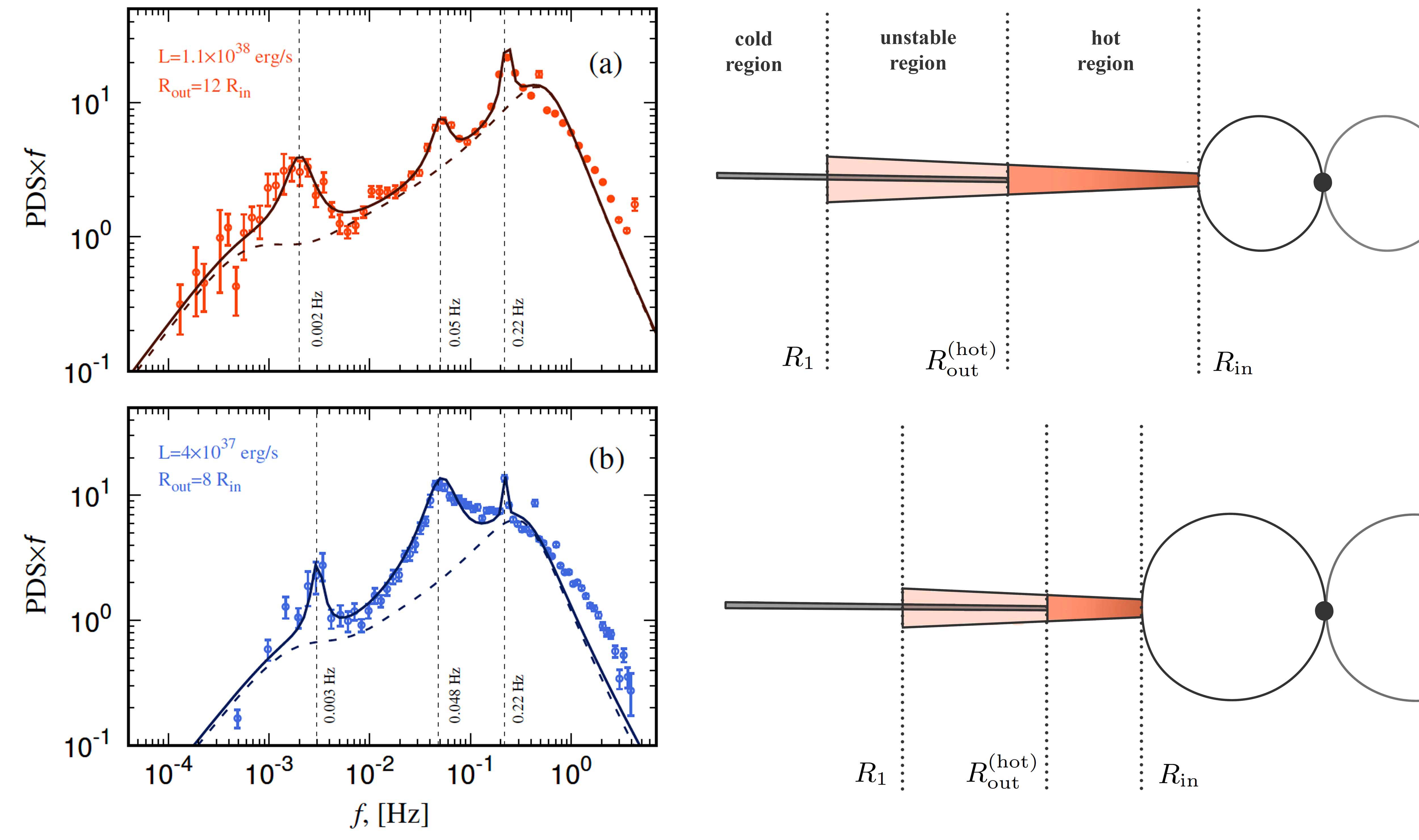
Г.В.Липунова
ГАИШ МГУ
Моделирование вспышек вязких аккреционных дисков вокруг нейтронных звезд
В докладе рассказывается о численном одномерном коде FREDDI для расчета эволюции вязких аккреционных α-дисков.
В коде произведен учет уменьшения внешнего радиуса части диска с ионизованным веществом, взаимодействия диска с магнитным полем центральной звезды, самооблучения диска и облучения соседней звезды. Код строит эволюцию физических параметров диска и кривые блеска. Представлены результаты моделирования одной вспышки Aql X-1 и и демонстрируется, что вид кривой блеска связан с изменением размера ионизованной части диска, а эффект пропеллера не способен объяснить наблюдаемое уменьшение светимости на поздних этапах вспышки. Также рассмотрены примеры вспышечной эволюции α-дисков вокруг рентгеновских пульсаров.
Презентация
Публикация

Двойная система с параметрами Aql X-1. Цветом показана эффективная температура.
Окружность на диске показывает границу горячей зоны в пике вспышки.
25 января 2022
А. В. Топоренский
ГАИШ МГУ
Синхронные системы координат в метрике Шварцшильда
Использование синхронных координатных систем позволяет перенести на пространство-время сферически
симметричной черной дыры ряд понятий, типичных для "космологической" интуиции, таких как собственное расстояние, пекулярные скорости, космологическое красное смещение, а также саму концепцию "расширения пространства". Для конкретной иллюстрации мы рассматриваем
вначале метрику Леметра (и сопутствующую ей метрику Гульстранда-Пенлеве). Далее,
мы приводим семейство синхронных метрик, включающее метрику Леметра, метрику Эддингтона-Финкельштейна и метрику Кантовского-Сакса как частные случаи.
Запись доклада
11 января 2022
А.М.Быков
Физико-технический институт им. А.Ф.Иоффе РАН
Галактические источники пета-электроновольтного излучения и нейтрино
Наземные гамма и нейтринные обсерватории в последние несколько лет
детектировали
источники пета-электроновольтного космического излучения. Большинство
наблюдаемых
нейтрино высоких энергий, вероятно, внегалактические, в то время как ПэВ
гамма кванты,
в основном, имеют галактическое происхождение, поскольку эффективно
поглощаются
при взаимодействии с реликтовым излучением на расстоянии десятков
килопарсек. В докладе обсуждаются модели источников ПэВ излучения в
Галактике. В частности, рассмотрены источники в активных областях
звездообразования -- сверхкаверна в Лебеде, компактные скопления молодых
массивных звезд (Westerlund I II) и двойные системы с массивной звездой
и релятивистским компаньоном.
Кинетическое моделирование формирования нетепловых распределений частиц
и процессов излучения
демонстрирует возможности эффективной конверсии кинетической и магнитной
энергии релятивистских и суб-релятивистских МГД-течений в гамма и
нейтринное излучение. Обсуждаются перспективы
изучения физических процессов в квази-стационарных и транзиентных
ПэВ-источниках средствами
многоканальной астрономии.
Доклад основан на материалах, опубликованных в статьях:
2018
2020
2021
2022
14 декабря 2021
С. Б. Попов
ГАИШ МГУ
Магнитары в двойных системах
(25 мин)
До сих пор все установленные магнитары были изолированными объектами. Однако есть кандидаты в НЗ с сильным магнитным полем в аккрецирующих
рентгеновских двойных системах, в основном с массивными донорами.
В этом докладе рассматриваются данные наблюдений этих объектов и обсуждается,
насколько их существование соответствует моделям образования и эволюции магнитных полей НЗ. При определенных условиях НЗ с магнитарными полями могут найтись в HMXBs. Скорее всего, эти НЗ находятся на стадии холловского аттрактора.
Алексей Некрасов
ГАИШ МГУ
Обзор статьи "Secular evolution of MHD wind-driven discs: analytical solutions in the expanded α-framework"
by Tabone B., Rosotti G. P., Cridland A. J., Armitage, P. J., Lodato G.
(20 мин)
Эволюция протопланетных дисков и связанный с этим процесс образования планет регулируется процессами переноса углового момента и потери массы. За последнее десятилетие парадигма вязкости была поставлена под сомнение, и МГД дисковые ветры кажутся убедительным сценарием для объяснения дисковой аккреции. В данной работе авторы стремятся построить эквивалент широко используемого аналитического описания вязкой эволюции для случая МГД ветра.

Рисунок 1 из статьи
30 ноября 2021
Андрей Игошев
School of Mathematics, University of Leeds, UK
Начальные скорости нейтронных звёзд
Вспышка сверхновой и рождение нейтронной звезды с некоторой начальной скоростью - это важное событие для двойной, которое во многом определяет, станет ли данная двойная звезда источником гравитационно-волнового излучения, рентгеновской двойной или миллисекундным радиопульсаром. Двойные системы, в которых нейтронная звезда движется медленно, часто выживают после вспышки сверхновой, в то время как системы, в которых нейтронная звезда родилась с большой начальной скоростью, чаще распадаются. В данном исследовании мы оцениваем распределение скоростей одиночных нейтронных звёзд и тех, которые родились в двойных. Мы рассчитали модели популяционного синтеза для двойных звёзд, варьируя параметры начального распределения скорости, массу нейтронной звезды и эффективности аккреции. Мы записали статистический метод, который позволяет анализировать различные наблюдения одновременно. Используя этот алгоритм, мы проанализировали параллаксы и собственные движения молодых радиопульсаров и рентгеновских двойных с Be звездой. Мы предлагаем, что распределение начальных скоростей радиопульсаров описывается бимодальных максвелловским распределением, где 20±10% нейтронных звёзд получают скорости с дисперсией 45±15 км/с и остальные нейтронные звезды получают начальные скорости с дисперсией 336 км/с. Наше моделирование показывает, что часто используемая модель для вспышки сверхновой с захватом электронов (дисперсии скоростей 30 км/с и 265 км/с) плохо согласуется с измерениями параллаксов и собственных движений молодых радиопульсаров. Мы предлагаем новую модель для скоростей нейтронных звёзд, рожденных в сверхновой с захватом электронов, которая согласуется с наблюдениями.

Иллюстрация из Igoshev (2019): распределения скоростей в соответствии с исследованием Hobbs et al. (2005), исследованием Verbunt, Igoshev & Cator (2017) по маленькой выборке молодых радиопульсаров с характеристическими возрастами меньше 10 миллионов лет и в соответствии с исследованием Igoshev (2019) по новых измерениям параллаксов и собственных движений радиопульсаров с характеристическими возрастами меньше 3 миллионов лет.
Презентация
Igoshev 2019, MNRAS, 494, 3, 3670
16 ноября 2021
В. Ф. Сулейманов
Institut für Astronomie und Astrophysik, Universität Tübingen, Germany
Спектральная эволюция термоядерных вспышек рентгеновских барстеров
Мощность термоядерных вспышек на поверхности нейтронных звезд в маломассивных рентгеновских двойных (LMXBs)
может быть настолько велика, что их светимость в максимуме блеска достигает Эддингтовского предела, а затем течение
нескольких (иногда десятков) секунд падает до предвспышечного уровня. Их рентгеновские спектры в первом приближении
описываются функцией Планка. Соответствующая температура является цветовой температурой спектра Т_c, и хорошо
известно, что она выше эффективной температуры T_eff из-за особенностей формирования выходящего рентгеновского
спектра в атмосфере горячей оболочки нейтронной звезды благодаря определяющей роли комптоновского рассеяния.
Отношение T_c/T_eff зависит главным образом от относительной светимости барстера в данный момент вспышки.
Эволюция отношения T_c/T_eff на этапе угасания вспышки может быть описана последовательностью спектров
атмосфер горячих нейтронных звезд. Для этой цели была рассчитана обширная сетка спектров таких моделей
атмосфер для различных светимостей, ускорений силы тяжести и химического состава. Применение этой сетки
модельных спектров для описания наблюдаемой спектральной эволюции ряда рентгеновских вспышек барьеров
позволило получить ограничения на радиусы нейтронных звезд (11-13 км), на химический состав аккрецируемой
плазмы, и обнаружить вынос продуктов термоядерного горения в атмосферу во время особенно мощных и
продолжительных вспышек. Показано, что неучет быстрого вращения нейтронных звезд может привести к
переоценке их радиуса на 0.5-1 км,а внешний нагрев атмосфер барстеров аккрецируемой плазмой определяет их
спектральную эволюцию на поздних стадиях вспышек.

Ограничения на массу и радиус нейтронной звезды в системе SAX J1810.8-2609 по результатам
моделирования наблюдаемой спектральной эволюции вспышки.
Презентация
2 ноября 2021
А.Д. Некрасов, В.В. Журавлев, С.Б. Попов
Поведение планет в аккреционном диске по мере эволюции двойной звездной системы
Изучается эволюция аккреционных дисков, образующихся в полости Роша маломассивной звезды в широкой двойной системе в эпоху, когда главная звезда системы уходит с главной последовательности. С повышением темпа звездного ветра от эволюционирующей звезды у звезды-компаньона образуется аккреционный диск, подобный протопланетному, но более долгоживущий за счет внешнего источника массы.
Около маломассивной звезды в широкой двойной системе могут существовать планеты на динамически устойчивых орбитах, поэтому представляет интерес рассмотрение взаимодействия планет с образующимся аккреционным диском второго поколения. Подобно молодым планетам в протопланетном диске, планеты начинают мигрировать в образующемся диске, что выражается в существенной перестройке архитектуры планетной системы.
В рамках настоящего исследования особое внимание уделяется расширениям модели аккреционного диска (учет нестационарности задачи, учет реалистичных моделей непрозрачности, расширение модели в область оптически тонких протяженных дисков при низком темпе аккреции вещества, учет нагрева внешних частей диска массивной звездой и т.д.), рассмотрению миграции планет за снеговой линией (в том числе рассматривается проблема быстрой миграции первого типа), определению условий выпадения планет на звезду и проведению расчетов для последующего популяционного синтеза экзопланет.

Показано изменение полуосей орбит планет с массой 10 масс Земли в зависимости от начальной полуоси двойной системы для двух значений параметра турбулентности альфа в диске. Начальные полуоси отложены по вертикальной оси. Изолиниями показаны финальные значения полуосей орбит планет после миграции за время от образования диска до сброса оболочки донором. Красная изолиния соответствует планетам, достигшим области приливной миграции на экстремально низких орбитах. Планеты, достигшие этой области, могут "выпадать" на звезду, приводя к вспышкам. Начальная масса донора 5 масс Солнца. Затененная область на графике соответствует динамически неустойчивым орбитам планет.
Презентация
19 октября 2021
П.Г. Тиняков, С.Б. Попов, М.С. Пширков
Использование наблюдений компактных объектов для целей астрофизики частиц.
Экстремальные характеристики - сверхвысокие энергии, крошечные сечения взаимодействий и длительные временные масштабы очень часто встречаются во время поисков гипотетических частиц за пределами Стандартной модели, поэтому эксперименты в лабораториях лишь иногда могут ограничить значительную часть пространства параметров, обычно же приводя лишь к установлению не слишком сильных верхних пределов. Использование астрофизических объектов как природных лабораторий помогает значительно расширить пространство параметров, которое доступно для проверки. Среди них ведущую роль играют компактные объекты (КО) - нейтронные звёзды (НЗ) и белые карлики(БК). В докладе рассматриваются некоторые применения наблюдений КО.
Частицы тёмной материи могут накапливаться внутри КО и могут вызвать дополнительный нагрев или коллапс. Мы рассматриваем различные режимы и темпы накопления, а также возможные последствия из-за роста массы ТМ внутри КО.
Затем мы показываем, какие ограничения могут быть наложены на свойства аксиона - одного из основных кандидатов на роль ТМ - из наблюдений НЗ и БК в радио- и рентгеновских диапазонах, а также из оценки возможного вклада аксионов в охлаждение БК.
Презентация
5 октября 2021
Екатерина Соколова-Лапа
Dr. Karl Remeis-Observatory (Bamberg)
Рентгеновское излучение магнитных полюсов нейтронных звезд при низких
темпах аккреции.
В докладе будет представлена модель для расчета спектра излучения и
профиля импульса
нейтронных звезд с сильным магнитным полем при низких темпах аккреции.
Моделируется
перенос излучения в атмосфере нейтронной звезды в области магнитного
полюса, принимая
во внимание поляризацию и частичное перераспределение по углам и
частотам при
Комптоновском рассеянии (как в непрерывном спектре, так и в циклотронной
линии).
Полученный спектр значительно поляризован и состоит из двух ярко
выраженных компонентов.
Жесткий компонент модифицирован широкой циклотронной линией. На основе
полученной
интенсивности и определенной геометрии (наклонении оси вращения
нейтронной звезды к
наблюдателю и угла между осью вращения и магнитной осью), моделируются
профили импульса,
видимые удаленным наблюдателем, с учетом гравитационного линзирования.
Данная модель
может быть применена для описания наблюдений рентгеновских двойных
систем с
Be-компонентом в состоянии покоя, что будет продемонстрировано на
примере источника
GX 304-1.

Модель излучения магнитных полюсов: проекция нейтронной звезды, профиль импульса и наблюдаемый спектр.
Публикация
Презентация
21 сентября 2021
Александр Додин
ГАИШ МГУ
Оптическое излучение основания аккреционной колонки у звезд типа Т Тельца.
Выносятся на рассмотрение проблемы теории магнитосферной аккреции у
звезд типа Т Тельца, которые возникают при анализе профилей их
эмиссионных линий. Простые соображения о том, что аккреционная ударная
волна одинаково облучает покоящийся газ в звездной атмосфере и
падающий газ в аккреционной колонке, приводят в выводу, что
спектральные линии должны иметь двухкомпонентную структуру: один
компонент находится почти на нулевой скорости, второй -- сдвинут на
несколько сотен км/с в красную сторону. Этот "красный" компонент
должен быть сильно переменным, вследствие вращения звезды. Однако
наблюдения показывают другую картину: наблюдается компонент, часто
сдвинутый на несколько км/с в красную сторону, а вместо
высокоскоростного компонента, в лучшем случае наблюдается пологий
хвост до 200-400 км/с, сливающийся с центральным компонентом на низких
скоростях. наблюдаемую форму профиля сложно понять из простых
соображений, поэтому было проведено моделирование спектров высокого
разрешения зоны аккреции, которое, однако, только подтвердило эти
противоречия.

Интенсивность излучения основания аккреционной колонки в районе линий
HeI 4713 и HeII 4686.
Публикация
Презентация
14 сентября 2021
А. С. Позаненко
ИКИ РАН
Звездная интерферометрия для регистрации гравитационных волн
Мы обсуждаем новый метод обнаружения гравитационных волн, основанный на пространственной интерферометрии, использующий в качестве когерентного источника звезду, в отличие от традиционных методов, использующих лазерный источник. Метод позволяет обнаруживать гравитационные волны с помощью двух разнесенных в пространстве космических детекторов, регистрирующих когерентное излучение от одной и той же звезды. Эксперимент, использующий метод звездной интерферометрии, позволяет искать гравитационные волны в диапазоне частот от 10E-6 до 10E-3 Гц. Обсуждается чувствительность звездного интерферометра с учетом отклика детектора и различного типа шумов.
Предварительная версия статьи arXiv:1906.06018
17 августа 2021
Г.В.Липунова
ГАИШ МГУ
Отчет за пять лет
В связи с переизбранием на должность.
18 мая 2021
Эволюция магнитного угла у аккрецирующих нейтронных звёзд
А.В.Бирюков
ГАИШ МГУ
В работе исследуется эволюция магнитного угла (между осью вращения и магнитной осью) нейтронной звезды в ходе дисковой аккреции.
Эволюция вращения звезды рассматривается с механической точки зрения, с учётом внешних моментов сил со стороны
аккреционного диска и из-за пульсарных потерь. Кроме этого учитывается подавление магнитного поля аккрецирующим веществом.
Показывается, что если в начальный момент времени ось вращения НЗ не совпадает с осью диска,
то существует сравнительно короткий (в несколько тысяч лет) период, в течении которого магнитный угол звезды увеличивается на величину до 10-25 градусов.
То есть аккреция способствует магнитной ортогонализации звезды. После чего эволюция угла практически останавливается.
Моделирование эволюции угла было проведено для разных комбинаций замагниченности звезды и темпа аккреции на неё. В работе дополнительно обсуждается
ряд возможных модификаций использованной модели, а также эволюция магнитного угла в рамках ветровой аккреции. Результаты сопоставляются с существующими
наблюдательными данными.


Слева: Углы в системе НЗ-диск. Справа цветом показано рассчитанное изменение угла χ между магнитной осью и осью инерции НЗ за 100 тыс. лет для разных моделей в зависимости от начальных χ0 и α0.
Публикация
Презентация
20 апреля 2021
Массы белых карликов в промежуточных полярах и другие их характеристики в эпоху Gaia
В.Ф.Сулейманов
Institut für Astronomie und Astrophysik, Universität Tübingen, Germany
Источником жесткого рентгеновского излучения промежуточных поляров
является оптически тонкая аккреционная колонка вблизи поверхности
магнитного белого карлика, представляющая из себя горячую (кТ ~10 кэВ)
плазму, разогретую прохождением через сильную ударную волну, и оседающую
на поверхность белого карлика в дозвуковом режиме.
Форма излучаемого рентгеновского спектра зависит
главным образом от массы белого карлика, и относительная простота физики
аккреционной колонки позволяет построить ее самосогласованную модель
и излучаемый рентгеновский спектр. Рассчитанная сетка теоретических спектров
была использована для анализа жестких рентгеновских спектров промежуточных
поляров, полученных космическими обсерваториями NuSTAR и Swift / BAT.
В результате были получены массы белых карликов в 37 объектах, оценены
темпы аккреции в них с использованием расстояний до них, полученных Gaia DR2,
и получены оценки магнитных полей на поверхности белых карликов. Результаты
являются полезными для понимания проблемы различия средних масс одиночных
белых карликов и средних масс белых карликов в катаклизмических переменных.

Распределение по массам исследованных белых карликов.
Публикация 1
Публикация 2
Презентация
13 апреля 2021
А. Г. Куранов
ГАИШ МГУ
Отчет за пять лет
В связи с переизбранием на должность.
6 апреля 2021
Об эволюции рентгеновских новых с ускоренным уменьшением орбитального периода
А. И. Богомазов
ГАИШ МГУ
В докладе рассматривается возможное объяснение ускоренного уменьшения орбитального периода
в маломассивных рентгеновских новых с черной дырой KV UMa, A0620-00, Nova Muscae 1991 и рентгеновской
новой с нейтронной звездой AX J1745.6-2901. Проведены эволюционные вычисления с использованием "Машины сценариев".
Показано, что наблюдаемая скорость уменьшения может быть объяснена многократным усилением магнитного поля оптической
звезды на стадии с общей оболочкой, которая предшествовала взрыву сверхновой в изучаемых системах.
Усиление магнитного поля вызывает повышенный унос углового момента системы в магнитном звездном ветре.

Количество рентгеновских новых в Галактике в зависимости от параметра λ, характеризующего
эффективность уноса момента магнитным звездным ветром (чем меньше λ, тем быстрее уносится момент).
Синяя кривая описывает количество систем с орбитальным периодом меньше 0.5 сут,
красная - количество систем со временем слияния меньше 100 миллионов лет. Их наблюдаемое отношение (~5) позволяет приблизительно оценить значение λ (~0.13).
Презентация
23 марта 2021
Усиление магнитного поля в аккреционных дисках около первых звезд.
Д. Д. Соколов
Физфак МГУ
По статье Piyush Sharda, Christoph Federrath, Mark R. Krumholz, and
Dominik R. G. Schleicher, MNRAS, 2021.
В докладе рассказывается об этой интересной статье в контексте других исследований о природе магнитных полей в астрофизических дисках.
16 марта 2021
Астрофизические проверки расширенных моделей гравитации
Дядина Полина
Аннотация:
В докладе будут представлены исследования возможных проявлений наиболее общей скалярно-тензорной теории Хорндески (без учета экранирования) в двойных системах, содержащих пульсар. Известно, что такие системы теряют энергию за счет излучения гравитационных волн, что приводит к изменению орбитального периода системы. В докладе будет показано проявление этого эффекта в рамках теории Хорндески, а также ее частных случаев (гибридной f(R)-гравитации и массивной теории Бранса-Дикке), и наложены ограничения на указанные модели, исходя из наблюдательных данных изменения орбитального периода систем PSR J1738+0333, PSR J0737-3039, PSR J1012+5307.
Кроме того, проявления гибридной метрической-Палатини f(R)-гравитации будут рассмотрены в системах с различными гравитационными режимами: в слабом поле Солнечной системы и в сильном поле двойных систем с пульсаром. В частности, в рамках Солнечной системы модель будет проверена с использованием параметризованного постньютоновского (ППН) формализма, а в двойных системах с пульсаром к модели применяется параметризованный посткеплеровский (ППК) формализм. С учетом наблюдательных данных по ППН и ППК параметрам на теорию будут наложены ограничения.

Допустимые значения массы скалярного поля в зависимости от фонового значения скалярного поля в модели гибридной f(R)-гравитации на основании данных системы PSR J0737-3039 (синее) и PSR J1738 + 0333 (зеленое). Оранжевое - значения, допустимые по постньютоновскому параметру γ.
Презентация
2 марта 2021
Взаимодействие пульсарного и звездного ветра в 3D и происхождение рентгеновского транзиентного выброса из PSR B1259-63.
Барков М.В.
ИНАСАН
Аннотация:
For the first time, we simulate in 3 dimensions the interaction of
isotropic stellar and relativistic pulsar winds along one full orbit, on
scales well beyond the binary size. We used the code PLUTO to carry out
relativistic hydrodynamical simulations in 2 and 3 dimensions of the
interaction between a slow dense wind and a mildly relativistic wind with
Lorentz factor 2, along one full orbit in a region up to ~100 times the
binary size. The simulations in 3 dimensions confirm previous results in 2
dimensions, showing: a strong shock induced by Coriolis forces that
terminates the pulsar wind also in the opposite direction to the star;
strong bending of the shocked-wind structure against the pulsar motion; and
the generation of turbulence. The shocked flows are also subject to a
faster development of instabilities in 3 dimensions, which enhances shocks,
two-wind mixing, and large-scale disruption of the shocked structure. In
addition to the Kelvin-Helmholtz instability, discussed in the past, we
find that the Richtmyer-Meshkov and the Rayleigh-Taylor instabilities are
very likely acting together in the shocked flow evolution.
A mysterious X-ray-emitting object has been detected moving away from the
high-mass gamma-ray binary PSR B1259-63, which contains a non-accreting
pulsar and a Be star whose winds collide forming a complex interaction
structure. Given the strong eccentricity of this binary, the interaction
the structure should be strongly anisotropic, which together with the complex
evolution of the shocked winds could explain the origin of the observed
moving X-ray feature. We propose here that a fast outflow made of a
pulsar-stellar wind mixture is always present moving away from the binary
in the apastron direction, with the injection of stellar wind occurring at
orbital phases close to periastron passage. This outflow periodically
loaded with stellar wind would move with a high speed, and likely host
non-thermal activity due to shocks, on scales similar to those of the
observed moving X-ray object. Such an outflow is thus a very good candidate
to explain this X-ray feature. This, if confirmed, would imply
pulsar-to-stellar wind thrust ratios of 0.1, and the presence of a jet-like
the structure on the larger scales, up to its termination in the interstellar
medium.

Карта плотности и скорости ветров вокруг пары радиопульсара и массивной звезды
Презентация
9 февраля 2021
Вековая эволюция шарового скопления однородной плотности в сжимающем приливном поле галактики.
П. Б. Иванов
Аннотация:
Ядерные звездные скопления (ЯЗС) обычны в центрах галактик. Возможно их предками
были шаровые скопления (ШС), сформировавшиеся вдали от центра, мигрировавшие внутрь
вследствие динамического трения и слившиеся в ЯЗС. Основная проблема этого сценария
заключается в том, что ШС могут быть разрушены приливном полем родительской
галактики на пути в центр. В рамках простой аналитической модели наш анализ
показывает, что при условии, когда распределение плотности массы вещества в центре
галактики близко к однородному, приливное поле способно сжимать, а не разрушать ШС
на расстояниях от центра много меньших, чем стандартный «радиус приливного
разрушения». Для этого выводятся уравнения для вековой эволюции ШС с однородной
плотностью массы и находится их аналитическое решение в пределе, когда плотность
массы вещества в центре галактики близка к однородной. Отмечается, что для
подтверждения наших аналитических выводов необходимо дополнительное численное
моделирование.

Ядерные звездные скопления в NGC 300 (слева) и NGC 205 (M110, справа) из Neumayer+2020
Публикация
Презентация
26 января 2021
Модель обдирания для коротких гамма-всплесков
А.В.Юдин
Аннотация:
Будет рассказано про современное состояние и развитие модели обдирания
(stripping model) для коротких гамма-всплесков. Проведено сопоставление со
стандартной моделью слияния (merging) нейтронных звезд. Также обсуждаются
свойства пекулярного гамма-всплеска GRB170817A, сопровождавшего первое
детектирование гравитационных волн от сливающихся нейтронных звезд -
событие GW170817.

Структура нейтронной звезды минимальной массы. Символами отмечены начальные позиции четырех траекторий, использованных для расчета нуклеосинтеза в процессе взрыва.
Публикация
Публикация
Презентация
12 января 2021
О чем говорит нам мерцание рентгеновских пульсаров?
А. Муштуков , С. Цыганков, Ю. Монкконен, Г. Липунова, А. Инграм, М. ван дер Клис
Аннотация:
Классические рентгеновские пульсары - это аккрецирующие нейтронные звезды с сильным магнитным полем в тесных двойных системах. Рентгеновский поток от таких источников содержит не только когерентные пульсации, но и стохастическую переменность в широком диапазоне частот. Оказывается, что на основании анализа стохастической переменности можно делать выводы о физических свойствах и геометрии аккреционного потока в двойной системе, а значит, осуществлять независимую оценку напряженности и, может быть, геометрии магнитного поля нейтронной звезды. Об этом и пойдет речь в моем докладе. Я расскажу о теоретических моделях, которые мы кладем в основу анализа стохастической переменности пульсаров и покажу, как удается применить наши модели в анализе наблюдательных данных.

Спектры мощности рентгеновского пульсара V0332+53 в двух состояниях светимости, и теоретическая модель, предполагающая переменный размер горячей зоны в диске, которая и ответственна за широкополосный спектр мощности.
Публикация
Презентация
29 декабря 2020
Влияние морфологии родительских галактик на свойства сверхновых типа Iа
Пружинская М. , Новинская А.К., Пона Н., Росне Ф.
Аннотация:
Было продолжено исследование проблемы использования сверхновых звезд типа Ia (СН Ia) в космологическом анализе. Абсолютная звездная величина СН Ia в максимуме блеска меняется в пределах одной звездной величины от объекта к объекту, то есть СН Ia не являются стандартными свечами. Причин разброса светимости может быть несколько. В данной работе было изучено, каким образом морфология родительских галактик сверхновых влияет на параметры их кривых блеска, а именно стретч (параметр растяжения) и цвет (параметр цвета). Анализ был выполнен для космологической выборки сверхновых Pantheon (Scolnic et al., 2018).

Диаграмма Хаббла для выборки сверхновых Pantheon. Штриховой линией обозначена LambdaCDM модель с Omega_Lambda = 0.702 ± 0.022 (Scolnic et al. 2018).
Публикация
Слайды
15 декабря 2020
Численное моделирование растекающегося пограничного слоя и объяснение kHz QPO
Павел Аболмасов
Аннотация:
Как считается, аккреция на нейтронные звезды со слабыми магнитными полями идет через пограничный слой - область между диском и поверхностью нейтронной звезды, где скорость вращения вещества падает примерно с кеплеровской до скорости вращения звезды. Мы рассматриваем (Abolmasov, Nättilä, Poutanen 2020) поведение такого аккреционного пограничного слоя при помощи двумерного численного моделирования в приближении растекающегося слоя. Показано, что в этом случае сверхзвуковые сдвиговые неустойчивости приводят к переносу момента импульса в широтном направлении. Они также возбуждают инерциальные моды колебаний на высоких широтах, что с наблюдательной точки зрения должно проявлять себя как квазипериодические изменения блеска. Некоторые свойства этих осцилляций, такие как наличие одной-двух заметных мод, диапазон частот, зависимость от потока, очень напоминают свойства квазипериодических осцилляций килогерцового диапазона (kHz QPO). Другое важное свойство kHz QPO, - параллельные треки на диаграмме поток-частота, - легко воспроизводятся в рамках еще более простой, нуль-мерной, модели пограничного слоя, чему посвящена наша вторая статья.

Трехмерное изображение растекающегося слоя на поверхности НЗ. Цветом показана температура.
Публикация
Слайды
1 декабря 2020
Динамическая роль пыли в образовании молекулярных облаков
Вячеслав Журавлев
Аннотация:
Dust is the usual minor component of the interstellar medium. Its dynamic role in the contraction of the diffuse gas into molecular clouds is commonly assumed to be negligible because of the small mass fraction, f ≃ 0.01. However, as shown in this study, the collective motion of dust grains with respect to the gas may considerably contribute to the destabilisation of the medium on scales λ ≲ λJ, where λJ is the Jeans length-scale. The linear perturbations of the uniform self-gravitating gas at rest are marginally stable at λ ≃ λJ, but as soon as the drift of grains is taken into account, they begin growing at a rate approximately equal to (fτ)1/3/tff, where τ is the stopping time of grains expressed in units of the free fall time of the cloud, tff. The physical mechanism responsible for such a weak dependence of the growth rate on f is the resonance of heavy sound waves stopped by the self-gravity of gas with weak gravitational attraction caused by perturbations of the dust fraction. Once there is stationary subsonic bulk drift of the dust, the growing gas-dust perturbations at λ < λJ become waves propagating with the drift velocity projected onto the wavevector. Their growth has a resonant nature as well and the growth rate is substantially larger than that of the recently discovered resonant instability of gas-dust mixture in the absence of self-gravity. The new instabilities can facilitate gravitational contraction of cold interstellar gas into clouds and additionally produce dusty domains of sub-Jeans size at different stages of molecular cloud formation and evolution.
Публикация
Слайды
17 ноября 2020
Авторы: Артур Авакян (докладчик), Галина Липунова, Константин Маланчев
Тема: Изменение орбитального периода двойной системы за счет ветра от аккреционного диска
Аннотация:
Наблюдения маломассивных рентгеновских двойных систем XTE J1118+480, A0620−00 и GRS 1124−68 демонстрируют значительный темп уменьшения орбитального периода, который пока не удаётся объяснить. Мы рассматриваем новый механизм уноса момента импульса из системы — потерю массы в виде ветра от аккреционного диска. Полученные нами значения темпа уменьшения орбитального периода, в предположении достаточно мощного, но не выходящего за рамки наблюдательных и модельных ограничений, ветра, могут приводить к резким падениям периодов рентгеновских новых. Также, уменьшение момента импульса сопровождается сжатием полости Роша менее массивной звезды-компаньона, что ведет к усилению перетекания вещества между компонентами. Полученный результат может указывать на то, что ветер от диска в рентгеновских системах влияет не только на ход вспышек, но также может играть важную роль в эволюции двойной системы.
25 февраля 2020
Докладчик: П. Ю. Голышева
Тема: Фотометрические исследования катаклизмических переменных звезд (по
материалам диссертации)
Аннотация:
Приводятся результаты многолетних фотометрических наблюдений нескольких объектов,
относящихся к обширной группе катаклизмических переменных (КП), таких как
карликовые новые типа SU UMa (V1239 Her, PNV J1915, ASASSN-15po, OV Boo),
новоподобные звезды (UU Aqr, V380 Oph), а также звезды с нетипичными кривыми
блеска, по классической классификации (ОКПЗ) относящиеся к карликовым новым типа U
Gem (HS 0218, 1SWASP J1621). Анализируется фотометрическое поведение этих звезд
во время вспышек и в спокойном состоянии, приводятся и интерпретируются найденные
периодичности, такие как орбитальный период, обычно определяемый по наблюдениям в
спокойном состоянии системы, и период суперхампов, а также их эволюция в течение
супервспышки. По данным ПЗС-наблюдений с коротким временным разрешением (20-30
с) некоторых затменных КП (KN cet, UU Aqr, V1239 Her, OV Boo, 1SWASP J1621),
преимущественно во вневспышечном состоянии, приводится интерпретация орбитальных
кривых блеска, особое внимание уделяется области затмения, которое соответствует
прохождению вторичного компонента перед белым карликом, а также приводятся
результаты моделирования объектов V1239 Her и UU Aqr в рамках “комбинированной
модели”, учитывающей вклад от горячего пятна на аккреционном диске и горячей линии –
струи, втекающей в диск.
На основании исследований звезд HS 0218 и 1SWASP J1621, имеющих ряд
особенностей, а также двух других похожих объектов, найденных в литературе, делается
предположение о существовании нового подкласса КП, характерными чертами которого
являются редкие вспышки с более симметричной, чем у большинства карликовых новых,
кривой блеска – т.н. вспышки типа “inside-out”, которая зарождается во внутренней
области аккреционного диска и затем распространяется наружу; в спокойном состоянии
наблюдаются большие показатели цвета, орбитальные кривые блеска демонстрируют
эффект эллипсоидальности, что позволяет говорить о доминирующем излучении
красного карлика в системе.
Таким образом, даже на примере этой выборки звезд можно выявить как свойства,
характерные для той или иной подгруппы КП, так и необычные наблюдательные
проявления, которые едва ли можно объяснить в рамках единой модели, и вопрос о столь
большом разнообразии этих ТДС остается открытым.
Слайды
18 февраля 2020
-
Докладчик: С. О. Алексеев
Тема: Отчет за пять лет
-
Докладчик: Н. И. Шакура
Тема: Отчет за пять лет
Слайды
February 11, 2020
Author: Shahram Abbassi (Ferdowsi University of Mashhad, Iran)
Title: Thermal Instability of Thin Accretion Disks in the Presence of Wind and a Toroidal Magnetic Field
Abstract:
We study the local thermal stability of thin accretion disks. We present a full stability analysis in the presence of amagnetic field and, more importantly, wind. We use a general model suitable for adequately describing several kinds of winds. First, we explicitly show that the magnetic field, irrespective of the type of wind, has a stabilizing effect. This is also true when there is no wind. In this case, we confirm other works presented in the literature. However, our main objective is to investigate the local thermal stability of the disk in the presence of wind. In this case, interestingly, the response of the disk is directly related to the type of wind. In other words, in some cases, the wind can stabilize the disk. On the other hand, in some cases it can destabilize the disk. We find that in some thin disk models where the magnetic pressure cannot explain the stability of the disk by including a typical contribution for magnetic pressure, wind can provide a viable explanation for the thermal stability.
Slides
4 февраля 2020
Докладчик: К.А. Маслов
Тема: Уравнения состояния вещества нейтронных звёзд в релятивистских моделях адронного вещества с учётом эффектов среды
Аннотация:
Рассматриваются новые уравнения состояния (УС) вещества нейтронных звёзд (НЗ), построенные с учётом модификации свойств адронов и их взаимодействия в плотной среде. Показано, что учёт этих эффектов позволяет одновременно согласовать наиболее важные экспериментальные данные о свойствах плотного и нагретого сильно взаимодействующего вещества, следующие из наблюдаемых свойств конечных ядер и НЗ, а также анализа столкновений тяжёлых ионов. В частности, эти УС допускают существование массивных НЗ с массами около 2 масс Солнца, в том числе и с учётом возможности накопления гиперонов и дельта-изобар в адронном веществе. Таким образом, построенные УС разрешают известные в литературе "загадки", связанные с сильным смягчением УС вследствие преобразования нуклонов гипероны и дельта-изобары. Далее в рамках построенных моделей изучена возможность адрон-кваркового фазового перехода, приводящего к наличию третьего семейства компактных звёзд с кварковым ядром, и рассмотрено влияние появления гиперонов на эволюцию поверхностной температуры НЗ в рамках парадигмы "охлаждения ядерной среды".
Слайды
5 ноября 2019
Докладчик: Мария Пружинская
Тема: Постоянная Хаббла по измерениям СН Ia и немного об окружении сверхновых
Аннотация:
Речь пойдет о том, каким образом измеряли и сейчас измеряют постоянную Хаббла с помощью сверхновых звезд. Будут рассмотрены самые последние результаты измерения H0 по сверхновым, а также возможные причины расхождения результатов Riess et al. 2009, 2011, 2016, 2019 с результатами Планка. Во второй части доклада я расскажу о нашей текущей работе, связанной с влиянием окружения СН Ia на параметры кривых блеска сверхновых.
26 ноября 2019
Докладчик: О. С. Сажина
Тема: Отчет за пять лет
Слайды
22 октября 2019
Авторы доклада: Константин Маланчев (докладчик), Мария Пружинская, Матвей Корнилов
Тема: Поиск аномалий в фотометрических каталогах переменных объектов
Аннотация:
За прошедшее десятилетие астрономия прочно вошла в эпоху массовых обзоров неба, когда в рамках одного обзора на протяжении всего нескольких месяцев или лет удается измерить характеристики миллиардов галактических или внегалактических источников. В последнее время для анализа таких объемов данных успешно применяются методы машинного обучения. На основе современных методов машинного обучения, совмещенных с экспертной оценкой, нами разработан подход по поиску аномальных объектов в фотометрических каталогах кривых блеска.
Мы апробировали наш подход на выборке кривых блеска в полосах g, r и i объектов Открытого каталога сверхновых (Open Supernova Catalog, http://sne.space). Для выявления аномальных для этой выборки объектов мы использовали как традиционный метод изолирующего леса (Isolation forest, Liu et al., 2008) с последующем экспертным анализом, так и реализацию алгоритма активного поиска аномалий (Das et al., 2017), подразумевающую активное взаимодействие эксперта и машины. В результате мы обнаружили несколько случаев неправильной классификации объектов, а наш метод получил свою верификацию указав на несколько известных необычных объектов выборки.
Сейчас мы работаем над применением этих методик к поиску необычных объектов среди десятков миллионов кривых блеска Zwicky Transient Facility DR1.
Сайт проекта:
snad.space
По материалам статей:
arXiv:1905.11516, arXiv:1909.13260
Слайды
18 сентября 2019
Докладчик: М. В. Сажин
Тема: Отчет за пять лет в связи с переизбранием
Аннотация:
В течение указанного периода времени Сажин М.В. работал по научной теме «Космология и теория релятивистского гравитационного поля», научным руководителем которой он является. Его научная активность была распределена следующим образом.
Часть времени Сажин М.В. работал над научной тематикой, посвященной поиску космических струн. Поскольку это являлось совместной работой с астрономами Неаполитанского университета, то основные статьи были опубликованы в международных журналах: «Monthly Notices of RAS», «European Physical Journal», а также в российских журналах с высоким рейтингом: «Астрономический журнал», «Вестник Московского университета». Кроме того, опубликовано несколько научно-популярных статей по этой тематике в российских и международных журналах.
Часть времени была посвящена работам по проблеме детектирования гравитационных волн, в частности, с участием Сажина М.В. был разработан космический эксперимент совместно с китайскими учеными: «Tian Qin». Публикации по этой работе были в высокорейтинговом журнале «Classical and Quantum Gravity», также на нескольких международных и российских конференциях.
Часть времени была посвящена работам по космической навигации: расчету эффектов с учетом релятивистских поправок. Публикации по этой тематике были в высокорейтинговых международных и российских журналах: «Phys.Rev. D», «Вестник МГУ».
Кроме того, часть рабочего времени Сажин М.В. посвящал популяризации науки и опубликовал несколько научно-популярных статей в журналах и газетах, а также главы в книгах: «Астрономия: век XXI. Изд. 3-е, испр. и доп. Ред.-сост. В.Г.Сурдин», «Многоканальная астрономия. Век-2 Фрязино».
Сажин М.В. подготовил и читал следующие курсы: «Общая теория относительности для астрономов» и «Космология» для студентов Физического факультета МГУ.
Научно-общественная работа заключается в том, что Сажин М.В. является членом редколлегий двух журналов: «Астрономический журнал», «Гравитация и космология». Кроме того, он является председателем постоянно действующего научного Семинара по гравитации и космологии памяти А.Л. Зельманова, ГАИШ МГУ, а также являлся членом оргкомитетов нескольких международных и российских конференций.
Научная деятельность Сажина М.В. в 2012 году была удостоена премии им. М.В. Ломоносова, МГУ им. М.В. Ломоносова. Он также является иностранным членом SOCIETA NAZIONALE DI SCIENZE, LETTERE E ARTI IN NAPOLI, Италия, Академия физических и математических наук.
2 июля 2019
Докладчик: Максим Барков (Purdue University, USA; ABBL RIKEN, Japan)
Тема: Магнитогидродинамические течения в релятивистских объектах
(по материалам докторской дисcертации)
Аннотация:
Суммируются и обобщаются основные результаты, представленные в дисcертации,такие как:
- Впервые в результате численного моделирования в рамках релятивистской МГД получено ускорение релятивистской струи до
лоренц-фактора Gamma>300, причем эффективность конверсии магнитной энергии в кинетическую была более 50%.
- В результате численного моделирования показано, что ускорение происходит относительно медленно на шкалах R ~ Gamma^2 * r_lc, где
r_lc это радиус светового цилиндра, или лоренц-фактор пропорционален цилиндрическому радиусу Gamma = omega / r_lc. Этот результат является
подтверждением более ранних результатов, полученных аналитически в работах В.С. Бескина и Н. Влахакиса.
- Методами численного моделирования в рамках ОТО МГД показано, что коллапс ядра массивной звезды с образованием молодой
протонейтронной звезды с сильным магнитным полем может привести к взрыву гиперновой и формированию
мощного струйного выброса, характерного для гамма всплеска.
- В рамках ОТО МГД проведено моделирование коллапса ядра очень массивной звезды с образованием вращающейся черной дыры и с
последующей дисковой аккрецией замагниченной оболочки. Моделирование показало формирование релятивистского струйного выброса, который может привести
к взрыву гиперновой и формированию длинного гамма-всплеска.
- Найден критерий для активации механизма Блэндфорда—Знаека. С его помощью были найдены значения для начального магнитного поля, необходимого для
формирования гамма-всплеска.
- Показано, что при проникновении компактного объекта (НЗ или ЧД) в оболочку звезды Вольфа—Райе может образоваться
долгоживущий аккреционный диск. Аккреция этого диска может объяснить длительное рентгеновское плато в послесвечении,
наблюдаемое у ряда гамма всплесков в течении ~10 000 с.
Текст диссертации
21 мая 2019
Докладчик: Дмитрий Бисикало (ИНАСАН)
Тема: Возможные электромагнитные проявления сливающихся чёрных дыр
Аннотация:
Проведено моделирование отклика аккреционного диска на потерю 5%
массы аккретора, образовавшегося в результате слияния двойной чёрной
дыры звёздной массы. Параметры исходной двойной системы соответствовали
гравитационно-волновому источнику GW170814. Мы провели серию расчётов
дисков с радиативным и конвективным механизмом переноса тепла, а также
с различным темпом аккреции. В моделях учитывался вклад в давление со
стороны излучения и адиабатическое расширение диска в вертикальном
направлении. Уменьшение массы аккретора привело к тому, что в диске
развилось сильное гидродинамическое возмущение, которое за время менее
1с переросло в ударную волну. В результате ударного нагрева
светимость конвективных дисков выросла на 3—5 порядков
величины, до 1043 эрг/с. Светимость радиативных дисков выросла
на1 —2 порядка, до 1040 эрг/с. Для источника,
удалённого на расстояние 540 Мпк (как в случае события GW170814)
поярчание диска может быть детектировано рентгеновской обсерваторией
XMM-Newton.
Слайды
23 апреля 2019
Авторы доклада: Мария Пашенцева, Евгений Михайлов (докладчики), Даниела Бонева
Тема: Механизм динамо в аккреционном диске в планарном приближении
Аннотация:
Аккреционные диски, которые формируются около массивных объектов, достаточно интересны с точки зрения исследования магнитных полей. Можно предполагать, что их эволюция связана с действием механизма динамо, подобного тому, который действует в галактиках, звездах и других астрофизических объектах. Хотя в настоящее время существует целый ряд работ, посвященных изучению магнитных полей в аккреционных дисках, интересно было бы изучить возможность применения моделей, подобных тем, которые используются в галактиках. К таким моделям можно отнести, в первую очередь, планарное приближение, использующее тот факт, что галактический диск достаточно тонкий. Особый интерес для нас представляли диски с большим внутренним радиусом. Нами построены зависимости магнитного поля от времени для различных параметров, определена возможная пространственная структура поля. Показано, что критическое значение динамо-числа (характеризующего интенсивность динамо), при котором возможен рост магнитного поля, существенно ниже, чем в галактиках. Кроме того, обсуждается вопрос о возможности применения моделей динамо с вертикальной пространственной структурой.
Слайды
9 апреля 2019
Докладчик: Дмитрий Костюнин (DESY)
Тема: Экспериментальное изучение гамма-излучения очень высоких энергий при помощи атмосферных черенковских телескопов
Аннотация:
В начале века в эксплуатацию были введены современные оптические телескопы, регистрирующие черенковское излучение от широких атмосферных ливней, рождаемых гамма-квантами в диапазоне энергий от нескольких десятков ГэВ до нескольких десятков ТэВ. За это время была получена карта галактики в ТэВном спектре, а также изучены населенности различных типов космических ускорителей частиц. В своем докладе я сфокусируюсь на гамма-излучении связанном с пульсарами, в частности мы рассмотрим известные на данный момент ТэВные пульсары и источники гамма-излучения, связанные с туманностями, подпитываемыми пульсарными ветрами. Данные исследования будут рассмотрены с точки зрения эксперимента, в частности мы обсудим свойства источников, которые могут быть извлечены при помощи черенковских телескопов. Также я затрону проблему исследования протяженных ТэВных гало, исследование которых представляется затруднительным на оптических инструментах из-за больших угловых размеров, однако, в то же самое время может быть осуществлено на площадных детекторах.
Слайды
2 апреля 2019
Авторы доклада: Е. А. Карицкая (докладчик, ИНАСАН), Н. Г. Бочкарёв
Тема: Магнитное поле в рентгеновской системе Лебедь Х-1, его переменность и наблюдательные проявления
Аннотация:
Наши спектрополяриметрические наблюдения с помощью FORS1 на 8.2-м телескопе VLT (г.Паранал, Чили) в 2007-2008 гг позволили обнаружить магнитное поле в рентгеновской двойной системе Лебедь Х-1 по эффекту Зеемана. Использована совокупность абсорбционных спектральных линий фотосферы О9.7Iab-сверхгиганта, являющегося оптическим компонентом этой двойной. Значение продольного (вдоль луча зрения) компонента магнитного поля регулярно меняется с орбитальной фазой, достигая максимума на уровне 130 Гс (6 сигма) при фазе 0.5.
Аккрецирующее вещество переносит магнитное поле, уплотняясь вблизи внешних частей аккреционной структуры, увеличивая его значение до ~600 Гс, на что указывают измерения, выполненные по эмиссионной линии HeII4686A. Согласно стандартной модели дисковой аккреции такие значения соответствуют величине магнитного поля ~108 – 109 Гс вблизи черной дыры и могут объяснить наблюдаемый миллисекундный фликеринг рентгеновского излучения Лебедя Х-1.
Наши расчеты показали, что в атмосфере сверхгиганта магнитное давление оказалось сравнимо с газовым и радиационным давлениями, а в области магнитных полюсов превышает их. Это должно приводить к пятнам повышенной яркости на поверхности звезды, которые могут изучаться с помощью наземной оптической фотометрии и спектроскопии. Эффект может достигать 1 %.
Кроме того, давление магнитного поля должно влиять на структуру течения вещества — из района магнитных полюсов следует ожидать более сильного истечения звездного ветра. Результаты 3D доплеровской томографии, выполненной нами по профилям линии HeII4686A, полученным из спектральных наблюдений 2007г., по времени совпадающим с наблюдениями магнитного поля, указывают на существование потока вещества со скоростью 300 км/с примерно из области магнитного полюса.
Есть указание на возможное изменение структуры магнитного поля в сверхгиганте со временем, что может быть причиной долговременных вариаций аккреционного течения, а, следовательно, и долговременной переменности излучения системы.
Слайды
26 марта 2019
Докладчик: Алексей Топоренский
Тема: Отчёт за пять лет в связи с переизбранием
12 марта 2019
Докладчик: Сергей Боговалов
Тема: «Холодная» дисковая аккреция
Аннотация:
Под «холодной» аккрецией понимается дисковая аккреция, при которой
основным каналом потерь углового момента вещества является унос его замагниченным ветром.
Вязкость на динамику аккреции не влияет, но приводит к нагреву дисков. Термин «холодная» используется
потому, что температура дисков оказывается несколько ниже, чем в стандартной модели Шакуры—Сюняева.
Сам диск в при таком режиме аккреции является геометрически тонким, но оптически толстым.
В докладе обсуждается наблюдательная мотивация к рассмотрению такого режима аккреции, физика этого процесса,
результаты численных решений, описывающих процесс «холодной» аккреции и светимость дисков в сравнении с энергетикой
течения плазмы от диска.
Слайды
26 февраля 2019
Докладчик: Борис Сафонов
Тема: Наблюдения молодых звездных объектов методом дифференциальной спекл-поляриметрии на 2.5 м телескопе
Аннотация:
Дифференциальная спекл-поляриметрия (ДСП) — метод исследования поляризации астрофизических объектов с дифракционным разрешением в видимом диапазоне (0.055" в случае 2.5-м телескопа на длине волны 550 нм). Один из классов объектов, подходящих для исследования методом ДСП, — протопланетные диски молодых звезд. В состав протопланетных дисков входит пыль, которая в видимом диапазоне излучает за счет рассеяния излучения звезды. Учитывая характерный угловой размер дисков — 0.5-5.0" — применение высокого углового разрешения для их изучения весьма актуально.
В докладе будет кратко описан метод ДСП. Затем речь пойдет о наблюдательных результатах полученных этим методом на 2.5-м телескопе КГО для некоторых молодых звезд. RW Aur A — звезда с необычным возмущенным протопланетным диском, генерирующим в последние 10 лет запыленный дисковый ветер. RY Tau — также по-видимому имеет запыленный дисковый ветер, геометрия которого значительно отличается от случая RW Aur A. В протопланетном диске звезды CQ Tau нами найдена спиральная структура. Наблюдения с базой 3 года показывают ее вращение.
arXiv:1812.05139,
arXiv:1811.00449
27 ноября 2018
Докладчик: Rodrigo Olea (Universidad
Andres Bell, Santiago, Chile)
Тема: Five-color theorem, black hole mass and pre-holography
Аннотация:
We present the first evidence on the fact that topological
invariants should renormalize anti-de Sitter gravity with
quadratic-curvature corrections. This argument is based on
the computation of energy for Einstein black holes in the
theory, which appears as a alternative procedure to linearized
methods (e.g., Deser-Tekin formula).
arXiv:1806.11075
Слайды
6 ноября 2018
Докладчик: Михаил Прохоров
Тема: Основные характеристики обзора Gaia DR2
Аннотация:
В апреле 2018 г. был опубликован второй релиз (DR2) обзора Gaia.
Этот релиз содержал более 1,5 млрд объектов, для большей части
которых имелось 5-параметрическое астрометрическое решение и сверхширокополосная фотометрия. Характеристики Gaia DR2 будут
рассмотрены подробнее.
Отдельно рассматривается вопрос о что к этому массиву информации
сможет добавить КЭ "Лира-Б".
30 октября 2018
Докладчик: Мария Пружинская
Тема: Моделирование кривых блеска сверхновых звезд с помощью кода Стелла
Аннотация:
В докладе речь пойдет о моделировании кривых блеска сверхновых, частично или полностью потерявших свои водородные оболочки (stripped-envelope SNe), а именно о СН 2013dx — сверхновой типа Ic, являющейся на данный момент второй по фотометрическому покрытию сверхновой, ассоциированной с гамма-всплеском (после СН 1998bw) и СН 2017gpn — сверхновой типа IIb, найденной в поле ошибок гравитационно-волнового алерта G299232/PGW170826 коллаборации LIGO/Virgo.
На основе работ:
Вольнова А.А., Пружинская М.В., Позаненко А.С., Блинников С.И. и др. "Multicolour modelling of SN 2013dx associated with GRB 130702A" (MNRAS, 2017) arXiv:1612.07626
Пружинская М.В., Балакина Е.А., Москвитин А.С "Photometry and modelling of Type IIb Supernova 2017gpn" (in prep., 2018)
16 октября 2018
Докладчик: Сергей Попов
Тема: Холловский аттрактор в нейтронных звездах
Аннотация:
Среди аккрецирующих нейтронных звезд в тесных двойных системах выделяют кандидаты в т.н. аккрецирующие магнитары. Основной проблемой в объяснении появления таких источников является быстрый распад магнитного поля на шкале ~105 лет и менее. Мы исследуем условия, при которых нейтронные звезды могут сохранять значительные поля вплоть до возрастов 107 лет. Мы формулируем три основных условия для сохранения магнитного поля: наличие стадии холловского аттрактора, быстрое остывание (чтобы избежать фононного вклада в сопротивление коры) и низкая величина параметра Q, характеризующего омическое затухание на дефектах коры. В рамках такого подхода удается также описать свойства недавно открытого радиопульсара J0250+5854 с периодом 23.5 секунд (см. краткий анализ этой возможности в arXiv:1809.07968). Т.е., этот пульсар, как и аккрецирующие магнитары, может находиться на стадии холловского аттрактора.
Слайды
2 октября 2018
Докладчик: Антон Афанасьев
Тема: Открытие сверхмассивной чёрной дыры в центре ультракомпактной карликовой галактики UCD3
Аннотация:
Ультракомпактные карликовые галактики представляют собой любопытный класс объектов с беспрецедентно высокой пространственной плотностью звёзд. Мы представляем отчет об обнаружении ЧД массой 3.5±1.4 млн масс Солнца в центре такой галактики на уровне достоверности 3σ с помощью джинсовского динамического моделирования кинематического профиля галактики. Также рассматривается возможная связь наличия чёрной дыры столь большой массы с окружением и эволюцией UCD3.
Слайды
25 сентября 2018
Докладчик: Алексей Топоренский
Тема: Начальные условия для инфляции с асимптотически плоским потенциалом
Аннотация:
В настоящее время форма потенциала инфлатона, согласующаяся с наблюдательными данными
уже сильно "зажата" - даже потенциал массивного поля уже не проходит. Потенциал должен обладать достаточно
пологими "крыльями" или быть асимптотически плоским. В докладе рассматривается вопрос о начальных
данных, приводящих к инфляции для асимптотически плоских потенциалов. Получающиеся результаты
довольно сильно отличаются от хорошо известных ранее, полученных для потенциала массивного поля.
Еще более сильно различаются результаты для этих двух случаев, если рассмотреть модель с
положительной пространственной кривизной.
20 марта 2018
Докладчик: А. Н. Петров
Тема: Отчет за пять лет в связи с переизбранием
Слайды
6 марта 2018
Докладчик: Илья Мереминский (ИКИ РАН)
Тема: Мониторинг неба в рентгеновском диапазоне энергий обсерваторией INTEGRAL: обзоры большой площади и транзиентные источники (по материалам кандидатской диссертации)
Аннотация:
В докладе представлены результаты мониторинга неба по данным рентгеновской обсерватории INTEGRAL. Был проведен ряд глубоких рентгеновских обзоров большой площади: обзоры области Галактического центра и Галактической плоскости, а также обзор глубоких внегалактических площадок. Благодаря высокой чувствительность удалось исследовать достаточно большие выборки источников. Так, например, была измерена функция светимости постоянных маломассивных рентгеновских двойных систем в балдже Галактики.
Также представлены результаты, полученные для двух наблюдавшихся транзиентных событий — очередной вспышки рентгеновской новой GRS 1739-278 и первого обнаруженного всплеска первого типа от IGR J17445-2747
Слайды
20 февраля 2018
Докладчик: Максим Сергеевич Дворников (ИЗМИРАН)
Тема: Сильные магнитные поля в физике нейтрино, космологии и астрофизике (по материалам докторской диссертации)
Аннотация:
Я рассматриваю влияние сильных внешних полей, в том числе и магнитного поля, на осцилляции нейтрино. Сформулирована начальная задача для системы массивных флейворных нейтрино со смешиванием, которые могут быть как дираковскими так и майорановскими, распространяющихся в вакууме, в фоновом веществе и в магнитном поле. Данная задача решена с использованием точных решений уравнения Дирака в соответствующих внешних полях. Показано, что в рамках данного подхода, основанного на релятивистской квантовой механике можно воспроизвести стандартный квантовомеханический гамильтониан для описания осцилляций нейтрино. Рассмотрены также некоторые астрофизические приложения. Помимо этого, предложено описание осцилляций между нейтрино и антинейтрино в фоновом веществе с использованием квантовой теории поля.
Затем я обсуждаю проблему генерации сильных космологических магнитных полей. Для этой цели вычисляется поляризационный оператор фотона в электрон-позитронной плазме и нейтринном газе. Показано, что в подобной среде возможно появление параметра Черн-Саймонса приводящего к неустойчивости магнитного поля. На этой основе описана генерация магнитного поля в плазме ранней вселенной за счет нейтринных асимметрий и получено ограничение на эти асимметрии. Затем рассмотрено влияние МГД турбулентности на эволюцию магнитных полей с учетом кирального магнитного эффекта (КМЭ) в плазме ранней вселенной. На основе выведенных новых кинетических уравнений исследованы относительные вклады МГД турбулентности и КМЭ в генерацию магнитного поля. Далее я рассматриваю генерацию гипермагнитных полей в плазме ранней вселенной до электрослабого фазового перехода (ЭСФП) за счет аналога КМЭ для гипермагнитных полей. Помимо хорошо известного вклада правых электронов, впервые были учтены вклады левых фермионов, хиггсовских бозонов и сфалеронных переходов в кинетические уравнения для киральных дисбалансов. На основе численного решения уравнений данной модели была найдена барионная асимметрия вселенной на момент ЭСФП.
Затем я перехожу к проблеме генерации сильных магнитных полей в компактных звездах. На основе точного решения уравнения Дирака для киральных заряженных частиц, электрослабо взаимодействующих с фоновым веществом под действием внешнего магнитного поля, получено выражение для аномального тока текущего вдоль магнитного поля с учетом вклада электрослабого взаимодействия, представляющего собой поправку к КМЭ. Показано, что подобная ситуация может быть реализована в кварковом веществе внутри кварковых и/или гибридных звезд. На этой основе исследовано усиление затравочного магнитного поля до напряженностей, которые предсказываются в магнитарах. Затем, учитывая МГД турбулентность, упомянутую выше, наряду с КМЭ дополненным электрослабым взаимодействием, показано, что данной модели могут возникать мелкомасштабные флуктуации магнитного поля с временной зависимостью аналогичной вспышкам магнитаров. Наконец, рассмотрена модель генерации сильных магнитных полей при взрыве сверхновой второго типа за счет нейтринной асимметрии.
Слайды
26 декабря 2017
Докладчик: В. В. Журавлев
Тема: Отчет в связи с переизбранием и новости с конференции «Texas Symposium 2017»
21 ноября 2017
Авторы доклада: С. Попов (докладчик), С. Мерегетти, С. Блинников, А. Куранов, Л. Юнгельсон
Тема: Первый сжимающийся белый карлик
Аннотация:
Предложена интерпретация необычной ретгеновской двойной HD49798 как
системы, где аккреция из звездного ветра горячего субкарлика (sdO)
идет на молодой (2 миллиона лет) белый карлик, находящийся на стадии
сжатия. Именно сжатие компактного объекта приводит к стабильной
раскрутке. С помощью численных расчетов показано, что темп ускорения
вращения находится в прекрасном соответствии с эволюционными моделями
белых карликов. Также методом популяционного синтеза двойный систем
проведен расчет частоты встречаемости таких систем и проанализированы
каналы, приводящие к их образованию.
Статья принята к публикации в MNRAS.
arXiv:1711.02449
Слайды
14 ноября 2017
Докладчик: М. В. Пружинская
Тема: Поправка за пекулярные скорости сверхновых Ia в скоплениях галактик
Аннотация:
Замечательной особенностью сверхновых типа Ia (СН) является универсальность их кривых блеска и высокая оптическая светимость. Это позволило использовать их в качестве индикаторов космологических расстояний, что привело к открытию ускоренного расширения Вселенной (Perlmutter et al. 1999, Riess et al. 1998). Современный анализ СН Ia показывает, что в рамках стандартной космологической модели плотность темной энергии во Вселенной составляет ~70%. Космологические параметры оцениваются с помощью соотношения «фотометрическое расстояние-красное смещение» для СН Ia. В настоящее время много внимания уделяется процедуре «стандартизации» СН Ia, то есть повышению точности измерения фотометрического расстояния. Однако, кроме «стандартизации» СН Ia, при построении диаграммы Хаббла используется еще одна величина, подлежащая измерению — космологическое красное смещение, то есть красное смещение, вызываемое движением объекта относительно реликтового фона. В действительности же, измеряемое на Земле красное смещение включает в себя вклад пекулярных скоростей: вращательное и орбитальное движение Земли, вращение Галактики, движение Галактики в Местной Группе, «падение» Местной Группы в направлении центра сверхскопления в Деве, пекулярное движение родительской галактики СН, и т.д. Точный вклад пекулярных скоростей в наблюдаемое красное смещение сверхновых неизвестен, а существующие методы по учету этого вклада не работают в скоплениях галактик, где дисперсия скоростей может достигать 1000 км/с.
Чтобы определять космологическое красное смещение СН Ia, взорвавшихся в скоплениях галактик, с большей точностью, мы предлагаем ввести для этих сверхновых поправку за пекулярные скорости, а именно использовать красное смещение скопления галактик вместо красного смещения родительской галактики. Эффект пекулярных скоростей был изучен на примере выборки из 145 близких сверхновых, 11 из которых взорвались в скоплениях галактик. Предложенный метод позволил повысить точность измерения космологических красных смещений и уменьшить разброс на диаграмме Хаббла. Поправку за пекулярные скорости СН Ia в скоплениях галактик необходимо учитывать при анализе данных в будущих космологических обзорах типа LSST (Large Synoptic Survey Telescope).
Слайды
7 ноября 2017
-
Докладчик: Д. Н. Раздобурдин
Тема: Выступление в связи с предстоящим конкурсным избранием на должность научного сотрудника
-
Докладчик: К. Л. Маланчев
Тема: Выступление в связи с предстоящим конкурсным избранием на должность научного сотрудника
Слайды
31 октября 2017
Докладчик: В. В. Журавлев
Тема: Транзиентные возмущения, ответственные за поддержку докритической турбулентности в линейно-устойчивых сдвиговых вращательных потоках
Аннотация:
Астрофизическими примерами вращательных сдвиговых потоков являются аккреционные и протопланетные диски, а также пограничные слои, возникающие, когда диски достигают поверхности слабо замагниченного медленно вращающегося аккретора. Простейшей моделью для таких потоков является безграничное однородное течение с постоянным темпом сдвига q, выраженном в единицах вращательной частоты. Для |q| ~ 1 нелинейная устойчивость этого течения проверена вплоть до чисел Рейнольдса Re ~ 105–106. Однако для q ~ -5 и меньше — т.е. в случае резко растущей на периферию угловой скорости вращения - потеря нелинейной устойчивости происходит уже при меньших Re. Мы предлагаем новый сценарий поддержки докритической турбулентности, который объясняет сложившуюся картину и может реализовываться при любых −∞ < q < 2. Главным элементом этого сценария являются трехмерные транзиентные вихри, ориентированные по направлению сдвига скорости усредненного потока, которые мы называем «кросс-роллами».
Слайды
24 октября 2017
Авторы доклада: А. Топоренский (докладчик), С. Попов, Е. Емцова
Тема: К вопрсу о скоростях удаленных объектов в ОТО
Аннотация:
Несмотря на простоту Фридмановской метрики различные интерпретационные вопросы
продолжают быть темой спорадических обсуждений в научной и методической литературе.
Одним из наиболее активно обсуждаемых является кажущийся обманчиво очевидным вопрос
о том какую скорость имеет смысл приписать объектам в Хаббловском потоке. Наиболее
очевидный способ неожиданно приводит к сверхсветовым скоростям и другим странностям,
типа галилеева закона сложения скорости потока и пекулярной скорости, даже для
субсветовых пекулярных скоростей. Существуют другие определения скорости Хаббловского потока,
свободные от таких странностей (например, скорости при этом всегда досветовые). Они,
однако, обладают другими контринтуитивными свойствами. Мы даем обзор различных
определений скорости Хаббловского потока и обсуждаем, какие интуитивные свойства,
обычно приписываемые скорости чего бы ни было теряются для каждого из вариантов.
Аналогичный вопрос о скоростях обсуждается также для пространства-времени статической
черной дыры.
Слайды
10 октября 2017
Докладчик: И. Ю. Золотухин
Тема: Популяция черных дыр промежуточной массы в активных ядрах галактик
Аннотация:
Существование черных дыр звездной массы и гигантских черных дыр в
миллионы и миллиарды раз более массивных, чем Солнце, надежно
установлено из наблюдений. Считается, что черные дыры в центрах
галактик эволюционируют совместно с их балджами. Такие сверхмассивные
черные дыры растут, аккрецируя газ и сливаясь друг с другом в
результате процесса иерархического слияния галактик. Однако их
происхождение по-прежнему остается загадкой: они возникли либо из
массивных черных дыр с массой 105–106 масс Солнца, сформировавшихся
напрямую путем коллапса газовых облаков в ранней Вселенной, либо же из
небольших (порядка 100 масс Солнца) черных дыр — конечных продуктов
эволюции первых звезд, которые неизбежно должны были оставить после
себя значительную и пока не обнаруженную популяцию черных дыр
промежуточной массы (IMBH, 102–105 масс Солнца). В результате
специального анализа данных больших обзоров неба мы создали выборку из
305 кандидатов в IMBH с массами от 3×104 до 2×105 масс Солнца,
расположенных в центрах галактик и активно аккрецирующих газ,
демонстрирующих при этом характерные наблюдательные особенности
активных ядер галактик в своих оптических спектрах. Используя архивные
и целевые наблюдения на обсерваториях Chandra и XMM-Newton, мы
обнаружили рентгеновское излучение от аккреционных дисков вокруг
черных дыр и таким образом подтвердили природу 10 объектов (включая 5
объектов, известных ранее), построив тем самым первую надежную
однородную выборку IMBH. Все галактики с IMBH имеют небольшие балджи и
находятся на продолжении известной зависимости Mbh—Mbulge в сторону
малой массы, указывая тем самым на то, что за время своей эволюции они
участвовали в небольшом количестве слияний или не участвовали в них
вообще. Существование в нашу эпоху активно аккрецирующих IMBH в ядрах
галактик свидетельствует в пользу сценария их образования из черных
дыр звездной массы.
12 сентября 2017
Авторы доклада: А. И. Богомазов (докладчик), А. М. Черепащук, В. М. Липунов, А. В. Тутуков
Тема: Эволюция тесных двойных звезд, приводящая к слиянию массивных черных дыр
Аннотация:
Открытие гравитационных волн дает хороший шанс для проверки теорий эволюции тесных двойных звезд.
Современные программы популяционного синтеза помогают проследить эволюцию от двух звезд главной последовательности до формирования в конце их жизни двух остатков — вырожденных карликов, нейтронных звезд и черных дыр. Для изучения возможной эволюции предшественника GW150914 используется «Машина сценариев». Проведенное моделирование показало возможность описания эволюции системы, в конце эволюции которой возникает слияние массивных черных дыр. Найдено, что начальная масса главной звезды пары (более массивной в начале эволюции) составляют 100–140 масс Солнца, начальная большая полуось системы составляет 50–350 масс Солнца. Вычисления показывают применимость современного сценария эволюции звезд и популяционного синтеза, построенного на его основе. Также рассматривается возможная эволюция гипотетически существующих звезд с массами до 900 масс Солнца, заканчивающаяся слияниями массивных черных дыр, а также причины возможного завышения темпа потери вещества в ветре массивных звезд.
5 сентября 2017
Докладчик: А. Н. Петров
Тема: Сферически симметричный коллапс до состояния точечной массы (Spherically symmetric collapse to a point-like state)
Аннотация:
We present an original way of presentation of the Schwarzschild black hole in the form of a point-like mass with the use of the Dirac δ-function, including a continuous collapse to such a point mass. A so-called field-theoretical formulation of GR, being equivalent to the standard geometrical presentation of GR, is used. All of the dynamical fields, including the gravitational field, are considered as propagating in a background (curved or flat) spacetime. Namely these properties allow us to resolve the problem. The results can be useful for analysis of the recent LIGO's and VIRGO's discovery of the gravitational waves.
Слайды
22 августа 2017
Докладчик: М. С. Пширков
Тема: Отчет за пять лет
Слайды
18 апреля 2017
Авторы доклада: А. А. Чашкина (докладчик), П. К. Аболмасов, Ю. И. Поутанен
Тема: Сверхкритическая аккреция на замагниченную нейтронную звезду
Аннотация:
Сейчас многое указывает на то, что ярчайшие внеядерные источники рентгеновского излучения в галактиках, — так называемые ультраяркие (ультрамощные) рентгеновские источники, — представляют собой компактные объекты, аккрецирующие вблизи эддингтоновского предела. Неожиданным открытием последних лет было то, что по крайней мере некоторые из этих объектов (а может, и большинство) — нейтронные звезды. При наличии достаточного магнитного поля фактический эддингтоновский предел для нейтронной звезды может возрастать примерно на два порядка за счет геометрических эффектов и изменения сечения рассеяния в магнитном поле. Вблизи эддингтоновского предела особую роль начинает играть давление излучения, которое модифицирует физические условия в магнитосфере и на внутреннем краю аккреционного диска. Мы предлагаем модель тонкого аккреционного диска, взаимодействующего с магнитным полем вблизи внутреннего края. Также в модель включено давление излучения центрального источника (аккреционной колонки). Хотя излучение самого диска, по-видимому, невозможно наблюдать на фоне существенно более яркой колонки, модель диска позволяет самосогласованно определить положение границы магнитосферы и, как следствие, — сделать проверяемые предсказания относительно равновесных периодов, темпов раскрутки и других наблюдательных свойств как классических, так и ультраярких рентгеновских пульсаров.
Слайды
April 18, 2017
Authors: Anna Chashkina (speaker), Pavel Abolmasov and Juri Poutanen
Title: Super-Eddington accretion onto a magnetized neutron star
Abstract:
There are strong indications that the brightest off-nuclear X-ray sources in galaxies, the so-called ultraluminous X-ray sources, are compact objects accreting close to or above their Eddington limits. Unexpected discovery of the recent years was that at least some of these objects, and maybe most of them, are in fact neutron stars. Strong magnetic field may increase the actual luminosity limit by about two orders of magnitude due to geometric effects and decrease in opacity in strong magnetic field. Close to the luminosity limit, radiation pressure plays important role, altering the physical conditions in the magnetosphere and near the inner edge of the accretion disc.
We propose a model of a thin accretion disc interacting with the magnetosphere through a narrow layer near its inner edge. Our model also accounts for radiation pressure from the central source (accretion column). Though the radiation of the disc itself is unlikely to be observed directly, the model allows to find the size of the magnetosphere and, subsequently, to predict equilibrium periods, spin-up rates and possibly other observational properties of both classical and ultra-luminous X-ray pulsars.
Slides
11 апреля 2017
Докладчик: С. А. Ламзин
Тема: Джет молодой звезды RW Aur A и связанные с ним проблемы
Аннотация:
RW Aur A - одна из наиболее активных звезд Т Тельца с возрастом свыше 1 млн. лет, однако при нынешнем темпе аккреции ее диск должен исчерпаться за 10 тыс. лет. Используя наблюдения, выполненные с помощью 2.5 м телескопа КГО ГАИШ, мы нашли, что возраст джета звезды ~ 350 лет. Мы предполагаем, что причиной наблюдаемой сейчас интенсивной аккреции и возникновения джета стало приливное влияние спутника RW Aur B на внешние области диска, которое за гидродинамическое время дошло до внутренних областей. В этой связи рассматривается вопрос о том, почему после 2010 г качественно изменился характер переменности блеска RW Aur A.
Слайды
4 апреля 2017
-
Докладчик: С. Б. Попов
Тема: Новости о быстрых радиовсплесках и отчет в связи с переизбранием
Аннотация:
В докладе будет представлен дайджест работ по БРВ за последний год. И наблюдательным, и теоретическим. Отчёт о проделанной работе и планы.
Слайды
-
Голосование по поводу выдвижение кандидатов в учёный совет ГАИШ
-
Докладчик: Yaakov Friedman (Jerusalem College of Technology)
Тема: Relativistic Newtonian Dynamics
Аннотация:
A new Relativistic Newtonian Dynamics (RND) for motion under a conservative force capable to describe non-classical gravitation behavior but not limited to gravitation only will be presented. The proposed RND incorporates the influence of energy on spacetime in Newton's dynamics. The RND dynamics equation for an attracting conservative force is derived from fundamental principles and subsequently simplified for motion under a central force. Without the need to curve spacetime, it predicts accurately and explains the precession of Mercury, the periastron advance of binaries, the gravitational lensing and the Shapiro time delay.
31 октября 2016
Докладчик: И. В. Чилингарян
Тема: Максимальный результат при минимальных ресурсах: опыт руководства неформальной научной группой в ГАИШ МГУ с 2011 года
Аннотация:
В конце 2011-го года в ГАИШ МГУ сформировалась неформальная научная группа, работающая по тематике внегалактической астрономии и Виртуальной Обсерватории. К концу 2016-го года наша группа включает 1 д.ф.-м.н., 5 к.ф.-м.н. и 4 студента 2-4 курсов АО. За 5 лет мы опубликовали более 60 реферируемых статей, которые были процитированы более 800 раз. В докладе я сделаю обзор научных проектов, над которыми работает наша группа и представлю наиболее интересные результаты нашей деятельности.
(1) Исследование компактных звездных систем, компактных эллиптических и ультракомпактных карликовых галактик. Нами были впервые исследованы звездные населения этих объектов, открыты более 70% известных на сегодняшний день компактных эллиптических галактик, открыта первая сверхмассивная центральная черная дыра в ультракомпактном карлике, помимо прочего, были опубликованы статьи в Nature (2014 год) и Science (2015 год).
(2) Разработка и научное использование каталогов и баз данных в различных диапазонах электромагнитного спектра. Нами была открыта универсальная зависимость цветов нормальных галактик, которая легла в основу алгоритма поиска компактных эллиптических галактик. Также был проведен детальный анализ миллиона спектров из обзора SDSS и выработана методика поиска черных дыр средних масс (IMBH), проявляющих себя как активные ядра низкой светимости.
(3) Исследование вертикальной структуры галактических дисков. Нами был получен уникальный массив спектральных данных на БТА и SALT для дисковых галактик, видимых с ребра, и сделаны выводы о сценариях формирования и эволюции толстых звездных дисков.
(4) Создание библиотеки инфракрасных звездных спектров и нового поколения моделей звездных населений. За 25 ночей наблюдательного времени на 6.5-м телескопе Магеллан, нами были получены инфракрасные спектры более 1000 звезд, покрывающих диаграмму Герцшпрунга-Рассела. Этот уникальный набор данных служит основой для создания моделей звездного населения нового поколения, как воздух необходимых для новых космических телескопов JWST и Euclid, которые будут работать преимущественно в ближнем ИК диапазоне.
(5) Исследование структуры гало темной материи в дисковых галактиках. Было показано, что при использовании стандартных методов декомпозиции кривых вращения, наблюдается сильная зависимость центральной плотности и шкалы гало от качества входных наблюдательных данных. При этом полная масса темного гало в пределах оптических границ определяется значительно точнее. Это особенно важно при сравнении результатов космологического моделирования с наблюдениями.
24 октября 2016
Докладчик: И. Ю. Золотухин
Тема: Многоволновые исследования редких астрофизических объектов с
использованием больших массивов данных (по материалам докторской
диссертации)
Аннотация:
В последнее время в астрофизике и других научных дисциплинах все более
популярным становится направление "data science" — извлечение научных
фактов из
больших массивов данных. Диссертация объединяет серию работ,
выполненных в этой парадигме, и посвящена исследованиям разнообразных
астрофизических объектов — маломассивных рентгеновских двойных,
рентгеновских пульсаров и гипер-ярких рентгеновских источников,
нормальных и компактных галактик — в различных диапазонах длин волн с
использованием больших массивов публично доступных астрономических
данных. Наиболее интересными научными результатами этой работы стало
открытие в другой галактике самого медленного из известных пульсаров в
шаровых скоплениях; вывод о существовании и наблюдаемости популяции
гипер-ярких рентгеновских источников со светимостью свыше 10^41 эрг/с;
открытие популяции изолированных компактных эллиптических галактик,
выброшенных в результате эффекта пращи из центров скоплений галактик
после приливного обдирания; открытие тесного фотометрического
соотношения цвет–цвет–величина для неактивных галактик в ближнем УФ и
оптическом диапазонах; построение зависимости орбитальный
период–светимость для маломассивных рентгеновских двойных систем в
ближнем ИК диапазоне. К методическим результатам работы относится
создание справочного каталога RCSED распределений энергии в спектрах
галактик от УФ до ИК диапазона, крупнейшего каталога рентгеновских
источников 3XMM, а также уникальных научных веб-приложений
rcsed.sai.msu.ru и xmm-catalog.irap.omp.eu для анализа
широкого спектра связанных с каталогами продуктов данных.
Слайды
17 октября 2016
Докладчик: О. С. Олейник
Тема: Миграция планет в аккреционном диске двойной системы
Аннотация:
Рассматривается двойная система, состоящая из красного гиганта и звезды главной последовательности. Вокруг аккретора существует планетная система, красный гигант теряет массу в режиме звездного ветра, без переполнения полости Роша. Вокруг звезды главной последовательности образуется аккреционный диск. Используются две модели тонкого диска с разными режимами аккреции: в первом случае рассматривается стандартный диск из звездного ветра, во втором случае приток вещества происходит по всей площади диска. Задачей является расчет времени миграции первого типа, вплоть до падения планеты на звезду. Полученное время миграции для различных значений темпа аккреции, большой полуоси, массы планеты и расстояния до звезды сравнивается со временем жизни красного гиганта, из чего можно сделать вывод о выживаемости планет и частоте слияний.
Слайды
10 октября 2016
Докладчики: Г. В. Липунова, К. Л. Маланчев
Тема: Определение параметра турбулентности в аккреционных дисках: эффекты самооблучения в 4U 1543–47 во время вспышки 2002 года.
Аннотация:
Рентгеновская двойная 4U 1543–47 с орбитальным периодом более суток может иметь достаточно большой аккреционный диск — до пяти радиусов Солнца. Однако, экспоненциально время затухания рентгеновской кривой блеска этой системы во время вспышки 2002 года составило лишь около 15 дней. Такое быстрое затухание не может быть объяснено вязкой эволюцией горячего аккреционного диска такого большого размера. Нами рассмотрена эволюция внутреннего горячего (T>10^4 K) диска с переменным радиусом для различных параметров рентгеновского самооблучения Cirr. Было показано, что наблюдаемые кривые блеска могут быть объяснены лишь при относительно небольших значениях Cirr < 10^-3 для двух режимов движения внешней границы горячего диска — в следствии тепловой неустойчивости или под контролем облучения.
arXiv:1610.01399
Слайды
3 октября 2016
Докладчик: М. Е. Прохоров
Тема: Первые результаты Gaia
Аннотация:
Консорциум Gaia опубликовал первый релиз каталога,
полученный по результатам 14 месяцев наблюдений по основной программе.
Целью космического эксперимента Gaia является астрометрический обзор
в котором ожидается получить координаты и другие параметры для примерно 1 млрд. звезд.
В докладе будет дан краткий обзор конструкции КА Gaia, программы ее наблюдений и содержания DR1.
Слайды
26 сентября 2016
Докладчик: Д. Н. Раздобурдин
Тема: Метод конечных объёмов в моделировании астрофизических потоков. Транзиентный рост возмущений в вязких дисках.
Аннотация:
Первая часть доклада посвящена поездке докладчика на школу "Prospects in Theoretical Physics 2016. Computational Plasma Astrophysics", проходившей в июле 2016 года в городе Принстон (США).
Школа была посвящена численным методам в астрофизике.
Основное внимание в ходе доклада будет уделено кодам для магнитогидродинамического моделирования астрофизических течений: Athena и Harm, а также средству визуализации результатов моделирования yt.
Вторая часть посвящена исследованию транзиентного роста линейных возмущений в астрофизических дисках.
Как известно, тонкие диски без учёта магнитного поля являются линейно устойчивыми.
Однако на коротких временах возможно временное (транзиентное) усиление определённого класса линейных возмущений.
В докладе будет рассказано о возможной связи этого усиления с турбулезацией спектрально устойчивых течений, а также о возможном применении этого механизма к астрофизическим потокам.
Будет приведена иллюстрация расчёта фактора транзиентного усиления в вязком аккреционном диске в потенциале Пачинского-Виита.
Слайды
26 июля 2016
Докладчик: Г. В. Липунова
Тема: Отчет за пять лет
Слайды
12 апреля 2016
Докладчик: Д. О. Чернышев
Тема: Космические лучи в в центре Галактики
Аннотация:
На основании экспериментальных данных по гамма- и рентгеновскому излучению, а также по темпу ионизации молекулярного водорода мы восстанавливаем спектр космических лучей в галактическом центре. Основным результатом является тот факт, что данный спектр должен содержать как минимум две различные компоненты: релятивистскую и субрелятивистскую. Энергетическая плотность релятивисткой компоненты в 1-3 раза выше, чем в окрестности Земли, что неплохо согласуется с диффузионной моделью распространения космических лучей. Субрелятивистская компонента обладает энергетической плотностью в 50 раз большей. Эти две компоненты не образуют единый спектр и поэтому должны иметь существенно разную природу. Кроме того, субелятивистская компонента должна обеспечивать излучение из гигантских молекулярных облаков в линии нейтрального железа достаточно большой интенсивности, сравнимой с наблюдаемой в настоящий момент, но, в отличие от последней, не меняющейся со временем. Экспериментальное обнаружение стационарного излучения в линии нейтрального железа может подтвердить наличие субрелятивистской компоненты.
Слайды
5 апреля 2016
Докладчик: А. В. Топоренский
Тема: Cтабильность решения Казнера в квадратичной гравитации
Аннотация:
Рассматривается динамика плоской анизотропной вселенной заполненной гидродинамической материей вблизи космологической сингулярности в квадратичной гравитации. Описываются два возможных режима — анизотропное решение Казнера и изотропное вакуумное решение с поведением масштабного фактора, аналогичным радиационно-доминированной вселенной. Для начальных данный вблизи точного решения в ОТО описывающего сжатие вселенной с гидродинамическим веществом (решение Якобса) численно находился аттрактор в квадратичной гравитации.
Найдено критическое значения константы связи в теории, такое что для больших констант связи решение Казнера неустойчиво, и космологическая сингулярность оказывается изотропной.
arXiv:1603.02851
29 марта 2016
-
Докладчик: А. Г. Куранов
Тема: Отчёт за пять лет
Аннотация:
В докладе будут представлены результаты, полученные автором при моделировании эволюции маломассивных двойных систем методом популяционного синтеза. Исследовано пространство параметров сливающихся двойных белых карликов. Результаты расчетов показывают, что численность сливающихся суб- и сверх-чандрасекаровских БК существенно меньше необходимого для воспроизведения наблюдаемой кривой распределения SN Ia по временам задержки и предполагаемой частоты вспышек в Галактике. Это может указывать на проблемы в понимании механизма вспышек SN Ia и эволюции тесных двойных систем. Также будут представлены результаты по моделированию функции светимости галактических двойных маломассивных рентгеновских источников.
-
Докладчик: И. Ю. Золотухин
Тема: Самый медленно вращающийся рентгеновский пульсар во внегалактическом шаровом скоплении
Аннотация:
Считается, что нейтронные звезды рождаются быстровращающимеся, а затем замедляются до периодов в 1—10 секунд. Значительная популяция миллесикундных пульсаров в нашей Галактике связана с раскруткой аккрецией нейтронных звезд веществом со звезды-донора. Однако, лишь несколько пульсаров наблюдаются в ходе этого процесса и все из них обладают относительно высокими частотами вращения. Мы открыли рентгеновский пульсар с периодом 1.20 с в шаровом скоплении B091D в галактике Андромеда. Этот пульсар является самым медленным из всех, найденных в шаровых скоплениях. Все 12 лет наблюдений он имел постоянную высокую светимость (около 30% от эддингтоновской) и высокий темп раскрутки. По-видимому, аккреция началась менее миллиона лет назад и не успела раскрутить пульсар до сотен Герц. НЗ находится в уникальной широкой двойной системе с орбитальным периодом 30.5 часов, находящейся в шаровом скоплении с высокой металличностью и возрастом 12 миллиардов лет. Этот быстроаккрецирующий рентгеновский пульсар позволяет заполнить пробел в имеющейся стандартной модели раскрутки аккрецией.
arXiv:1602.05191
Слайды
22 марта 2016
Докладчик: С. Б. Попов
Тема: Быстрые радиовсплески: пульсары или магнитары
Аннотация:
На сегодняшний день известно менее 20 быстрых радиовсплесков.
Это события миллисекундной длительности и потоком от долей до десятков янских.
Ясно, что это космологические объекты. Соответственно, их светимость в
радиодиапазоне составляет около 10^40 эрг в сек.
Существует около 20 гипотез для их объяснения, но последние результаты
свидетельствуют в пользу двух из них. Это или вспышки магнитаров, или
импульсы молодых пульсаров с большим энерговыделением.
В докладе описывается наблюдательная картина по быстрым
радиовсплескам, дается краткий обзор гипотез, и чуть в больших деталях
обсуждается магнитарная (Попов, Постнов, Любарский), а также
пульсарная, включая свежие теоретические результаты Лютикова и др.
arXiv:1603.02891
Слайды
15 марта 2016
Докладчик: М. М. Иванов (МГУ, ИЯИ РАН, EPFL, CERN)
Тема: Крупномасштабная структура Вселенной: на заре новой эры в космологии
Аннотация:
После завершения миссии спутника «Планк» космология вступает в эпоху крупномасштабной структуры Вселенной. В ближайшем будущем спутники и телескопы нового поколения, такие как «Евклид», LSST и DESI, будут измерять распределение вещества во Вселенной, которое зависит от множества космологических параметров. Поэтому, для продолжения прогресса в космологии необходимо точно понимать свойства этого распределения. Однако ситуация значительно осложнена эффектами нелинейной кластеризации, существенными для масштабов меньше 100 Мпк. В своем докладе я представлю инновационный метод описания крупномасштабной структуры Вселенной в слабо-нелинейном режиме, который называется «теория возмущений на временных расслоениях» (time-sliced perturbation theory). Ключевая идея этого метода, основанного на формализме физики частиц, состоит в изучении зависящей от времени функции распределения плотности материи. Я покажу, что новый метод позволяет систематически, самосогласованно и надежно вычислять космологические наблюдаемые до любой наперед заданной точности. В заключение доклада я обсужу возможности обнаружения новой физики используя предложенный метод в экспериментах ближайшего будущего.
Слайды
3 марта 2016
Докладчик: С. В. Бабак (Albert-Einstein-Institut)
Тема: Что мы узнали благодаря сливающейся двойной черной дыре GW150914
Аннотация:
В этом докладе я сделаю обзор по детектированию двойной
сливающейся черной дыры GW150914. Я кратко опишу принципы
детектирования гравитационных волн с LIGO, методы используемые для
анализа данных и оценки значимости найденного сигнала.
Я дам более подробное описание оценки параметров двойной системы
и тестов Общей Теории Относительности, проведенных на гравитационно
волновом сигнале.
Слайды
25 февраля 2015
-
Докладчик: Н. И. Шакура
Тема: Отчёт за последние пять лет
Слайды
-
Докладчик: С. О. Алексеев
Тема: Отчёт за последние пять лет
Слайды
10 ноября 2014
Докладчик: И. Ю. Золотухин
Тема: Отчёт за последние пять лет
13 октября 2014
Докладчик: М. С. Пширков
Тема: Ограничения на долю первичных черных дыр в темной материи из наблюдений компактных объектов
Аннотация:
Первичные черные дыры могут быть захвачены компактными объектами
(белыми карликами или нейтронными звездами) в течение их жизни или
быть унаследованы от звезды-прародителя. Если черная дыра оказывается
в столь плотном окружении, немедленно начинается аккреция звёздного
материала на нее и за короткое время компактный остаток разрушается.
Наблюдения белых карликов и нейтронных звёзд в регионах с высокой
плотностью тёмной материи позволяют исключить первичные черные дыры
как кандидата на роль темной материи в широком диапазоне масс ЧД:
10^17 — 3*10^24 г
Слайды
7 октября 2014
Докладчик: М. В. Сажин
Тема: Отчёт за последние пять лет
29 апреля 2014
Докладчик: Г. В. Липунова
Тема: Эволюция ограниченного вязкого диска с постоянным во времени коэффициентом вязкости
Аннотация:
Размеры аккреционых дисков ограничены в двойных системах. В
определенных режимах внешний радиус диска - почти постоянная величина.
Известно экспоненциальное решение для диска с коэффициентом вязкости,
не зависящим от времени. В рамках теории это решение реализуется,
например, на этапе затухания вспышки после увеличения темпа аккреции
на центральный объект. Мы получаем полное решение, описывающее
развитие вспышки в диске с такой вязкостью, аналогичное решению
Линден-Белла и Прингла для бесконечных (неограниченных) дисков.
Рассматриваются различные граничные условия на внутренней и внешней
границах диска.
15 апреля 2014
Докладчик: В. В. Журавлёв
Тема: Транзиентная динамика возмущений в тонких кеплеровских дисках
Аннотация:
Речь пойдет о транзиентном росте гидродинамических возмущений в кеплеровских сдвиговых потоках. Задача актуальна в связи с продолжающимися исследованиями механизмов переноса углового момента в астрофизических дисках, а также свойств их (в т.ч. стохастической) переменности. В работе исследовались свойства наиболее быстро растущих возмущений, для чего использовался новый, т.н. вариационный метод их поиска. При этом рассматривались как локальные, как и глобальные возмущения. Было показано, что наибольший рост демонстрируют вихревые сдвиговые гармоники с азимутальной длиной волны порядка толщины диска, что происходит за счет излучения ими волн плотности, случающегося в момент превращения гармоники из лидирующей спирали в отстающую спираль (т.н. момент свинга). Другим важным результатом оказалось то, что глобальные вихревые гармоники с азимутальной длиной волны
порядка радиального масштаба в диске (и много больше его толщины) достигают роста в десятки раз в течение нескольких кеплеровских периодов на внутренней границе диска. В диске со слабой турбулентностью последняя может служить естественным затравочным источником подобных крупномасштабных вихрей, транзиентный рост которых, в свою очередь, может давать дополнительный отток углового момента на периферию диска, а также менять стохастические свойства аккреционного потока.
Слайды
8 апреля 2014
Докладчик: С. И. Глазырин
Тема: Исследование горения в сверхновых типа Ia
Аннотация:
Сверхновые типа Ia являются одними из наиболее ярких астрофизических
вспышек. Важная особенность этих объектов - их абсолютную светимость
можно восстановить по другим наблюдаемым параметрам (по скорости спада
кривой блеска). В результате эти сверхновые могут быть использованы
для космологических измерений, в частности, ускоренное расширение
Вселенной было открыто с помощью них. Проблема заключается в том, что
способ стандартизации этих взрывов является чисто эмпирическим и
проверен только на относительно близких вспышках. Для его
доказательства необходимо хорошо понимать физику взрыва таких
объектов. Такого понимания пока нет.
Согласно одному из популярных сценариев взрыва SNIa, звезда
загорается в центре в режиме медленного горения (дефлаграции), который
потом переходит в детонацию. Механизм этого перехода не известен до
сих пор и составляет основную физическую задачу при исследовании взрывов
SNIa. Считается, что такой переход связан с различными
неустойчивостями горения. В докладе будут рассмотрены несколько
неустойчивостей пламени: термопульсационная, Ландау-Даррье,
Рэлея-Тейлора-Ландау, и их вклад в распространение горения в
сверхновых Ia.
Слайды
1 апреля 2014
Докладчик: К. А. Ранну
Тема: Наблюдательные аспекты расширенной гравитации (по материалам кандидатскои диссертации)
Аннотация:
Диссертация состоит из четырех глав. В первои главе обсуждаются современные методы экспериментальной проверки расширенных моделей гравитации в пределе слабого и сильного поля, а именно параметризованный пост-ньютоновский формализм и исследование аккреции на компактный объект. Во второй главе рассматриваются такие расширения ОТО с помощью поправок по кривизне, скалярных полей и дополнительных компактных и некомпактных измерений, как теория Бранса-Дикке, теория Гаусса-Бонне и теория Рандалл-Сандрума II. В третьей главе исследуется влияние поправок по кривизне и некомпактного дополнительного измерения на параметризованное пост-ньютоновское разложение расширений ОТО. Четвертая глава посвящена рассмотрению кротовых нор Бранса-Дикке и процесса аккреции вещества на компактный объект данного типа и выявлению его особенностей, которые позволили бы отличить его от других видов компактных объектов в рамках других теорий на основе экспериментальных данных.
Слайды
25 марта 2014
Докладчик: А. В. Топоренский
Тема: Отчет за последние 5 лет
Аннотация:
В отчете рассмотрены результаты за последние годы по следующим направлениям:
1. Точные решения в многомерной космологии с гравитацией Лавлока. Исследован новый
класс точных решений, впервые найденных в работах В.Иващука.
2. Космологическая динамика в f(R) гравитации. Найдены и описаны асимптотики на поздних
временах космологической эволюции.
3. Космологическая динамика в теориях со скалярным полем с неминимальной связью. Проведена
классификация асимптотических режимов.
Рассматриваются также варианты дальнейших исследований по этим направлениям.
4 марта 2014
Докладчик: П. В. Бакланов
Тема: Космография по SN II
Аннотация:
Сверхновые, видимые на космологических расстояниях, играют ключевую роль в
измерении размеров Вселенной и установлении её свойств.
Для измерений расстояний по сверхновым предложено несколько методов.
Эти методы можно разделить на две группы: методы «стандартной свечи» и геометрические методы.
В методах «стандартной свечи» расстояние определяют из фотометрического соотношения, используя сверхновые с заведомо известной светимостью. Метод требует проведения калибровки «стандартной свечи» и получения расстояний до большого числа сверхновых, измеренных совсем другими, независимыми методами с привлечением лестницы космологических расстояний. Иначе, без набора большой статистики объектов с известным расстоянием, невозможно
применять эти методы на практике. Поэтому в данной группе методов сверхновые используются как вторичные индикаторы расстояний (secondary distance indicators).
В докладе рассмотрены методы, позволяющие определять расстояния до сверхновых II типа напрямую, без применения разного рода калибровок.
Изучены достоинства и недостатки старинного метода расширяющихся фотосфер (Expanding Photosphere Method, EPM) и нового метода плотного слоя (Dense Shell Method, DSM).
Слайды
10 декабря 2013
Докладчик: Д. А. Бадьин
Тема: Новости с рабочей программы и конференций «Supernovae and Gamma-Ray Bursts 2013» (Киото, Япония)
15 октября 2013
Докладчик: Н. Ю. Подорванюк
Тема: Начальная функция масс в звездных системах: новый метод и новые оценки
Аннотация:
Мы представляем новый метод определения наклона начальной функции масс (Initial mass function, IMF) для звезд малой массы. Данная техника является расширением метода NBursts для аппроксимации спектров звездных систем моделями звездных населений. Наш новый метод позволяет определять наклон IMF с точностью порядка 0.1, что значительно лучше классических методик, например, прямого подсчета звезд. Мы применили наш метод к различным звездным системам: шаровым скоплениям, ультракомпактным карликовым галактикам и гигантским эллиптическим галактикам. Один из наших результатов заключается в следующем: мы не видим никаких свидетельств зависимости наклона IMF на малых массах в гигантских эллиптических галактиках от их массы (данная зависимость была редставлена в журнале Nature, Cappellari et al., 2012).
1 октября 2013
Докладчик: В. В. Лукин (ИПМ им. Келдыша)
Тема: Математическое моделирование канализированных радиационно ускоренных выбросов
Аннотация:
Работа посвящена математическому моделированию процессов
образования, коллимации и ускорения астрофизических струйных выбросов
(джетов) около компактных объектов.
Построены МГД и радиационная МГД математические модели
образования, коллимации и ускорения плазменного выброса из окрестностей
компактного объекта.
Разработаны численные методы решения системы уравнений магнитной
гидродинамики и уравнения переноса излучения в двумерной осесимметричной
постановке на треугольной неструктурированной сетке. Численные методы
реализованы в виде программного комплекса, предназначенного для
высокопроизводительных систем с общей памятью, в том числе использующих
графические ускорители.
В вычислительных экспериментах получен устойчивый во времени
хорошо коллимированный выброс плазмы. Зафиксированы всплески скорости
выброса, приводящие к образованию сгустков вещества в потоке выброса.
Коллимация обеспечивается осевым и тороидальным магнитным полем.
Ускорение вещества достигается за счет давления излучения аккреционного
диска.
17 сентября 2013
Докладчик: A. В. Мещеряков (ИКИ РАН)
Тема: Структура аккреционных дисков с облучением в Рентгеновских новых:
первые результаты наблюдений системы Орел X-1 во время вспышки
в июне-августе 2013 г.
Аннотация:
В докладе представлены первые результаты наблюдений орбитальной
обсерваторией Swift и монитором всего неба MAXI ярчайшей за последние 10 лет
вспышки Рентгеновской новой в системе Aql X-1 в июне-августе 2013 года.
Наблюдения вспышки Aql X-1 орбитальными инструментами проводились одновременно
с кампанией наземных оптических/ИК наблюдений на нескольких телескопах: 1.5-м
RTT150 (Турция), 1.6-м АЗТ-33ИК (Россия), 1.3-м SMARTS (Chile), 1-м Цейсс-1000
(САО РАН, Россия). Одним из наиболее интересных результатов наблюдений стала
регистрация раннего этапа аккреционного всплеска в оптическом диапазоне на 4
дня раньше регистрации рентгеновской вспышки обсерваторией Swift. Используя
длинную серию одновременных рентгеновских и УФ наблюдений приборами XRT и UVOT
обсерватории Swift, а также данные оптического наземного мониторинга, мы
определили степень облучения аккреционного диска на различных этапах
вспышки рентгеновского транзиента.
29 апреля 2013
Докладчик: К.А. Ранну
Тема: Экспериментальные проверки расширенных теорий гравитации
Аннотация:
Исследуется модель Гаусса-Боннэ со скалярным полем с помощью параметризованного пост-ньютоновского формализма. Также рассматривается одно из решений модели Рандалл-Сандрум II, полученное в рамках подхода AdS5/CFT4. Оцениваются возможности проверки разного рода расширенных моделей гравитации в экспериментах в Солнечной системе.
22 апреля 2013
Докладчик: Д.С. Горбунов (ИЯИ РАН)
Тема: Тёмная материя в мотивированных обобщениях стандартной физики: модели, механизмы рождения в ранней Вселенной, стратегия поиска.
Слайды
15 апреля 2013
Докладчик: А. В. Топоренский
Тема: Космологическая динамика в модели с неминимальной кинетической связью скалярного поля
Аннотация:
Исследуется динамика космологической модели, содержащей скалярное поле с неминимальной кинетической связью. Используя методы теории динамических систем находятся и анализируются асимптотические режимы в данной модели. Особое внимание уделено инфляционному режиму, который в данном сценарии существует при отсутствии потенциала скалярного поля, чисто за счет неминимальной кинетической связи.
8 апреля 2013
Докладчик: П. К. Аболмасов
Тема: Торможение вращения черной дыры излучением нестандартного диска. arXiv:1303.5470
Аннотация:
Аккреция вещества из тонкого аккреционного диска всегда раскручивает черную дыру, так как удельный момент на последней устойчивой орбите больше предельно возможного a GM/c. Так как объект с параметром Керра
a>=1 обладает рядом неудобных свойств (таких как существование голой сингулярности), естественно ожидать, что раскрутка будет остановлена какими-то более или менее экзотическими процессами. Среди них — избирательный захват излучения аккреционного диска, предложенный Торном в 1974. При этом параметр вращения останавливается на величине около 0.998. Я рассматриваю то, как влияет на это равновесное значение отказ от некоторых предположений, лежащих в основе модели стандартного диска: кеплеровского вращения и эффективного высвечивания, а также большой оптической толщины. Показано, что важную роль играет ориентация излучающей фотосферы, поэтому весьма эффективен может быть захват излучения внутреннего края диска, состоящего из оптически толстой внешней части и оптически тонкой внутренней, что ожидается в некоторых моделях дисковой аккреции на компактные объекты.
Слайды
1 апреля 2013
Докладчик: А. Г. Куранов
Тема: Моделирование функции рентгеновской светимости маломассивных галактических источников
Аннотация:
Методом популяционного синтеза исследуется формирование и эволюция маломассивных рентгеновских источников в балдже галактик. Для вычислений используется код MSE (Mashine Scenario + BSE) — объединение кода Mashine Scenario (создан в ГАИШ МГУ, ориентирован на эволюции компактных релятивистских объектов в двойных системах) с кодом BSE (Binary Star Evolution, группа Hurley J.R., Tout C.A., Pols O.R., 2002 — один из наиболее полных кодов, подробно охватывающий как собственную эволюцию невырожденных звезд, так и основные процессы эволюции в двойных системах.
Полученные модельные ФРС показывают, что стандартный сценарий эволюции маломассивных рентгеновских двойных приводит к отличному от наблюдаемого вида ФРС в области низких светимостей менее $10^{36}$ эрг/с. Именно эта часть ФРС наиболее сильно подвержена влиянию модельных параметров эволюции (в частности, трактовке магнитного звездного ветра, предположительно отвечающего за унос орбитального момента импульса в ТДС со звездами главной последовательности с массами от 1.5 до 0.3 масс Солнца), а также от трактовки стационарных и нестационарных аккрецирующих из диска источников .
25 марта 2013
Докладчик: М. М. Иванов
Тема: Массивная гравитация: проблемы и достижения
Аннотация:
В обзорном докладе будут освещены основные аспекты теории массивной гравитации,
особое внимание будет уделено астрофизическим приложениям:
разрыв ван-Дамма-Вельтмана-Захарова, духовые состояния, механизм Вайнштейна,
проблема ультрафиолетового поведения, ускоренное расширение Вселенной и
экранировка космологической постоянной, тесты в Солнечной системе, черные дыры,
массивный гравитон как холодная темная материя.
18 марта 2013
Докладчик: О. С. Сажина
Тема: Космические струны во Вселенной: достижения и перспективы исследования
Аннотация:
Космические струны — разновидность реликтовой темной энергии,
представляющие собой линейные топологические дефекты, которые могли бы
образоваться в ранней постинфляционной Вселенной и «дожить» до
современной эпохи. В докладе рассматриваются два основных метода
поиска таких объектов: в оптическом диапазоне и в радиодиапазоне.
Первый заключается в поиске и анализе гравитационно-линзовых
изображений протяженных внегалактических источников, которые может
формировать струна (объект CSL-1). Второй — в анализе анизотропии
реликтового излучения, которую может генерировать движущаяся струна на
фоне анизотропии стандартных адиабатических возмущений (анализ данных
WMAP).
Слайды
11 марта 2013
Докладчик: Р. А. Буренин (ИКИ РАН)
Тема: Поддержка рентгеновского обзора всего неба обсерватории СРГ в
оптическом диапазоне
Аннотация:
В докладе будут обсуждаться различные научные задачи будущего
рентгеновского обзора всего неба обсерватории СРГ и дополнительные
оптические наблюдения, необходимые для решения этих задач. Будут
обсуждаться алгоритмы составления статистически полных выборок
скоплений галактик, активных ядер галактик и квазаров, рентгеновских
двойных систем.
Слайды
4 марта 2013
Докладчик: С. Б. Попов
Тема: Великое объединение нейтронных звезд
Аннотация:
В докладе кратко рассказываются новости по астрофизике одиночных
нейтронных звезд, а также рассказывается о попытках единого описания
этого типа объектов. Речь идет о поисках взаимосвязей между объектами
разного типа (радиопульсары, магнитары, RRATs, CCOs, Великолепная
семерка и т.д.). По всей видимости, в едином описании будет велика
роль эволюции магнитного поля нейтронных звезд: затухание, всплывание
после эпизода возвратной аккреции после вспышки сверхновой, поведение
тороидальной компоненты поля.
Слайды
25 февраля 2013
Докладчик: Д. А. Бадьин
Тема: Моделирование и проявления теплового излучения околозвёздной среды,возмущённой гамма-всплеском: плато, иррегулярности и квази-сверхновые.
Аннотация:
Рассматриваются наблюдательные эффекты теплового излучения в послесвечениях гамма-всплесков (ГВ), которые могут возникать при переработке части выделяемой при ГВ значительной энергии (как в форме выброса, так и гамма-лучей) в плотной оболочке вокруг звезды-прародителя ГВ, сброшенной на стадии предсверхновой. Нами исследовались возникновение и перенос теплового излучения в плотных структурах околозвёздной среды в условиях нестационарного нагрева и изменения состояния вещества под воздействием гамма-лучей и выброса ГВ. Для расчётов применялся мультигрупповой радиационно-гидродинамический код STELLA, адаптированный к поставленной задаче. Наиболее характерные проявления: рентгеновские плато, пологие горбы (~10^48 эрг/с протяжённостью до 10^4 с от видимого начала ГВ), оптические «горбы» — иррегулярности (характерная светимость 10^44 эрг/с с максимумом на временах ~0.1—1 дня). При этом благодаря полной фотоионизации, вещество становится прозрачным в рентгеновском диапазоне, что делает возможным одновременное наблюдение теплового и нетеплового излучения. Также обнаружено, что при наложении некоторых модельных граничных условий задачи, «взрывная термализация» части энергии гамма-всплеска в веществе приводит к возникновения явления, сходного по динамике и свойствам излучения с энергичной сверхновой типа IIn. Данный механизм может быть ответственным за наблюдаемые проявления сверхновых в послесвечениях гамма-всплесков.
Слайды
18 февраля 2013
Докладчик: В. В. Журавлев
Тема: Два вопроса теории дисковой аккреции: релятивистские изгибные диски и транзиентный рост возмущений в сдвиговом кеплеровском потоке.
Аннотация:
Доклад состоит из двух разных частей. Первая посвящена созданию полуаналитической теории изгибных релятивистских аккреционных дисков на базе стандартной модели плоского аккреционного диска. Дается краткое описание вывода системы динамических уравнений, описывающих изгиб и скручивание, а также расчет профиля стационарного изгибного диска для случая модели Новикова-Торна соответствующего плоского диска.
Во второй части освещается так называемый немодальный подход к анализу динамики гидродинамических возмущений в сдвиговых потоках, коими в частности являются и аккреционные диски. Распространенный спектральный метод решения задачи,
когда возмущения разбиваются на отдельные моды с определенными частотами, дает неполное представление
о возможных сценариях эволюции возмущений в течениях со сдвиговой деформацией. Представлены результаты по расчету так называемых оптимальных возмущений, проявляющих наибольший транзиентный рост за фиксированное время и наибольшим образом отличающихся по динамике
от спектральных мод.
Слайды
11 февраля 2013
Докладчик: А. Н. Петров
Тема: Законы сохранения в метрических теориях.
Аннотация:
Развивается три метода построения законов сохранения и сохраняющихся
величин в метрических теориях гравитации в самом общем виде. Первый,
канонический, основан на прямом приложении теорем Нётер. Второй
использует процедуру симметризации Белинфанте. Третий представлен в
рамках теоретико-полевой формулировки, где для построения каждой из
сохраняющихся величин необходим симметричный (метрический) тензор
энергии-импульса. В рамках каждого из подходов построены сохраняющиеся
токи и соответствующие суперпотенциалы самого общего вида в теории
Эйнштейна-Гаусса-Боне. Как приложения, вычислены сохраняющиеся
величины для интересных решений этой теории типа черных дыр
Калуцы-Клейна, на основании чего сделана важная и нетривиальная их
интерпретация.
9 октября 2012
Докладчики: Н. И. Шакура и П. К. Аболмасов.
Тема: Микролинзирование и дисковая аккреция на сверхмассивные черные дыры в квазарах.
Аннотация:
Эффекты микролинзирования звездным населением галактики-линзы дают
уникальную возможность пространственно разрешить аккреционные диски
сильно линзированных квазаров. Померенные таким образом размеры
квазаров существенно больше, чем предсказываемые стандартной моделью
тонкого аккреционного диска. Кроме того, как правило не
воспроизводится зависимость размера диска от длины волны. Нами
показано, что подобные трудности характерны в первую очередь для
квазаров с относительно маломассивными черными дырами (меньше чем
примерно миллиард солнечных масс), в то время как массивные объекты
показывают лучшее согласие с теорией. Мы предполагаем, что
маломассивные черные дыры аккрецируют в сверхкритическом режиме, и для
них наблюдается рассеивающая оболочка, образованная ветром
сверхкритического диска. Это позволяет объяснить как большие размеры
излучающих областей, так и слабые зависимости этих размеров от длины
волны. Использование данных фотометрии и микролинзирования позволяет
самосогласованно оценить темпы аккреции и массы черных дыр для
объектов с оболочками. Существенно меньшие размеры квазаров в
рентгене, вероятно, являются следствием существования канала в ветре
диска.
2 октября 2012
Докладчик: Сергей Борисович Попов
Тема: Периоды вращения нейтронных звезд: эволюция и загадки.
Аннотация:
В докладе рассматривается модель со всплывающим магнитным полем,
позволяющая включить центральные компактные источники в остатках
сверхновых в единую картину эволюции нейтронных звезд. Затем
описываются текущие проблемы популяционного синтеза близких остывающих
нейтронных звезд. Они состоят в особенности распределения этих
объектов на P-Pdot диаграмме. Приводятся результаты новых расчетов с
разными кривыми остывания и разными предположениями о начальных
магнитных полях.
25 сентября 2012
Докладчик: Михаил Иванов
Тема: Является ли тёмная материя Лоренц-инвариантной?
arxiv:1209.0464
Аннотация:
Мы изучаем возможность получения ограничений на
отклонение от Лоренц-инвариантности в секторе темной материи.
Нарушение Лоренцевой симметрии предсказывается несколькими перспективными
подходами к квантованию гравитации и в общем случае требует присутствия
новых легких гравитационных степеней свободы, которые мы описываем через
динамическое времени-подобное векторное поле. Данное векторное поле может
взаимодействовать с полями (частиц) тёмной материи и вносить Лоренц-нарушение
в соответствующий сектор. Было найдено, что такое взаимодействие ведет
к нарушению принципа эквивалентности для частиц тёмной материи в
пределах малых гало.
Для достаточно больших кластеров был обнаружен (хамелеонный) механизм,
который восстанавливает инертную массу до нормального значения.
Как следствие, нетривиальная динамика Лоренц-нарушающей темной материи
ускоряет процесс образования структур и ведет к масштабно-зависимому
усилению их спектра мощности.
Используя текущие наблюдательные данные по микроволновому излучению
и Крупномасштабной структуре Вселенной можно ограничить
нарушение Лоренцевой симметрии в тёмной материи на уровне 1%.
23 апреля 2012
Докладчики: Анна Чашкина и Павел Аболмасов
Тема: Вращательная эволюция черных дыр при различных режимах аккреции.
Аннотация:
В случае дисковой аккреции падающее вещество передает свой угловой момент черной дыре (ЧД), при чем черная дыра может раскрутиться до керровских параметров, близких к единице. Помимо этого, существуют электромагнитные процессы, позволяющие ЧД терять вращательную энергию (процесс Блэндфорда-Знаека) и обмениваться угловым моментом с диском (так называемая прямая магнитная связь -- direct magnetic link). Потери момента в обоих случаях быстро возрастают с ростом параметра вращения, поэтому раскрутка ЧД замагниченным веществом может остановиться на промежуточных равновесных значениях керровского параметра.
В ходе исследования процессов раскрутки черных дыр замагниченным веществом в рамках мембранной парадигмы нами показано, что:
-
Равновесные значения керровского параметра чувствительны к режиму аккреции, причем толстые, адвекционно-доминированные диски отводят момент
лучше и могут остановить раскрутку на достаточно малых значениях керровского параметра (a~0.2..0.3).
-
Прямая магнитная связь эффективнее работает в толстых, процесс Блэндфорда-Знаека -- в стандартных дисках (при наличии джета).
-
Для прямой магнитной связи важно затухание магнитного поля вблизи горизонта ЧД.
-
Разнообразие режимов аккреции, по-видимому, приводит к существованию популяций ЧД как с
вращательными параметрами, близкими к 1, так и с существенно меньшими a.
Ко второй группе естественно отнести черную дыру в центре Галактики и аккреторы в рентгеновских
новых. В обоих случаях наблюдательные оценки дают малые параметры вращения.
16 апреля 2012 года
-
Докладчик: С. Б. Попов
Тема: Начальные периоды вращения одиночных нейтронных звезд
Аннотация:
Мы использовали опубликованные данные по нейтронным звездам в остатках сверхновых для определения начальных периодов вращения этих объектов. Показано, что очень узкие и очень широкие распределения не совместимы с данными. Заметная доля нейтронных звезд (и с большими, и с малыми полями) рождаются с периодами 0.1-0.5 секунд."
-
Докладчик: П. Ю. Голышева
Тема: Многоцветная фотометрия карликовой новой HS 0218+3229
Аннотация:
За длительный период наблюдений нам удалось зарегистрировать лишь две вспышки амплитудой ~ 4m. Такие редкие вспышки довольно необычны для звезд типа U Gem, у которых промежуток времени между вспышками составляет в среднем порядка месяца. Поведение HS 0218+3229 можно объяснить низким темпом перетекания вещества в системе. В этом случае вещество успевает достичь внутренних частей диска и накапливается там. Таким образом, вспышка зарождается во внутренних частях диска и распространяется во внешние его части – т.н. “inside-out” вспышка. Во вневспышечном состоянии была обнаружена переменность, связанная с орбитальным движением системы. Вследствие эллипсоидальности холодного красного компонента, на кривой блеска наблюдаются две волны за период. Период орбитального вращения системы мы оцениваем как 7h 8m 11.5s.
Обнаружена также быстрая (~40–50 минут) переменность блеска в полосах U, B, не связанная с орбитальной волной. Возможно, эта переменность связана с наиболее горячими компонентами системы – т.е. с мерцанием горячей области заимодействия струи и аккреционного диска.
Анализ двухцветных диаграмм показал, что во время вспышки звезда находится недалеко от линии абсолютно черного тела с цветовой температурой около 15000 К, в то время как в минимуме блеска положение переменной соответствует звезде спектрального класса K5V.
9 апреля 2012
Докладчик: Н. И. Шакура
Тема: Сборка "пазлов" модели 35-дневного цикла в Her X-1
Аннотация:
Показано, что модель аккреции вещества на свободно прецессирующую
нейтронную звезду со сложным недипольным магнитным полем вблизи
поверхности объясняет изменения профилей рентгеновских импульсов с
фазой 35-дневного цикла в источнике Her X-1. В процессе моделирования
были использованы данные многолетних PCA наблюдений источника с борта
RXTE. Найдены положения излучающих рентген полюсов, подковоподобных
структур и отдельных пятен, которые удовлетворительно воспроизводят
изменения профилей профилей рентгеновских импульсов с фазой свободной
прецессии. Обнаружено, что наблюдаемый тренд моментов рентгеновских
включений на диаграмме О-С состоит из отдельных стабильных эпох. При
переходе от одной эпохи к другой имеют место сбои периода свободной
прецессии с амплитудой ~1% , вызванные скачкообразными
изменениями положения осей инерции коры нейтронной звезды. Кроме
свободно прецессирующей нейтронной звезды в системе Her X-1 = HZ Her
также имеет место вынужденная прецессия наклонного к орбитальной
плоскости аккреционного диска. Поразительная близость периодов
свободной прецессии нейтронной звезды и вынужденной прецессии
аккреционного диска объясняется механизмом синхронизации в системе,
который включает в себя динамическое действие газовых струй на
прецессионное движение диска, промодулированное периодом свободной
прецессии нейтронной звезды. Модель работает, если вектор момента
вращения нейтронной звезды не параллелен орбитальному моменту двойной
системы.
2 апреля 2012
Докладчик: К. А. Постнов
Тема: Квази-сферическая аккреция на замагниченные нейтронные звезды.
Аннотация:
Построена модель квази-сферической аккреции на нейтронные звезды (НЗ)
в режиме дозвукового оседания, который реализуется в рентгеновских
пульсарах при светимостях $L_xi<L_{cr}\approx 4\times 10^{36}$~эрг/с.
При этом вокруг магнитосферы НЗ образуется горячая квази-статическая
оболочка.Темп аккреции вещества в оболочке и скорость оседания
определяются способностью плазмы проникать в магнитосферу посредством
неустойчивости Рэлея-Тейлора. В оболочке возникает крупномасштабная
конвекция и (вообще говоря, анизотропная) турбулентность. Решена
газодинамическая задача о переносе момента импульса через оболочку. В
зависимости от параметров турбулентности радиальное распределение
угловой скорости вращения оболочки может меняться от
квази-кеплеровского до изомоментного. Рассмотрены режимы
взаимодействия оболочки с магнитосферой и найдены законы ускорения и
замедления периода вращения НЗ. Модель объясняет наблюдаемые
особенности долговременных и кратковременных вариаций периодов
Х-пульсаров GX 301-2, Vela X-1, GX 1+4, X Per и др., существование
сверхмедленно вращающихся нейтронных звезд, а также позволяет по
данным о замедлении и ускорении периода вращения рентгеновских
пульсаров оценить магнитные поля НЗ. При $L_x>L_{cr}$ скорость
оседания вещества вблизи магнитосферы становится сверхзвуковой из-за
Комптоновского охлаждения, и аккреция происходит в режиме свободного
падения с образованием ударной волны вблизи границы магнитосферы.
Повышение светимости может приводить к развитию неустойчивостей на
временах свободного падения из околомагнитосферной зоны, что,
возможно, наблюдается в некоторых рентгеновских транзиентных
источниках.
26 марта 2012 года
Докладчик: П. К. Аболмасов
Тема: Определение свойств аккреционных дисков вокруг сверхмассивных черных дыр по данным микролинзирования.
Аннотация:
Эффекты микролинзирования звездным населением галактики-линзы дают уникальную возможность пространственно разрешить аккреционные диски сильно линзированных квазаров. При этом размеры дисков зачастую получаются заметно больше, чем можно было бы ожидать, исходя из стандартной модели тонкого диска. Проведенный авторами анализ имеющихся данных по переменности квазаров, вызванной микролинзированием, позволяет утверждать, что часть линзированных квазаров (в основном, объекты со сравнительно маломассивными черными дырами) аккрецирует в сверхкритическом режиме. Сверхкритическая аккреция проявляется в наличии оттекающей квазисферической оболочки, которая рассеивает излучение диска, эффективно увеличивая его размер и сглаживая зависимость радиуса диска от длины волны. Эффективный радиус этой оболочки по порядку величины согласуется с радиусом, определенным методами микролинзирования. В рамках предлагаемой модели непосредственно из наблюдений определяются как величины темпов сверхкритической аккреции, так и массы черных дыр, на которые идет дисковая аккреция в квазарах. При массах черных дыр больше чем примерно миллиард масс Солнца рассеивающая оболочка, по-видимому, не играет заметной роли, но следует учитывать влияние эффектов ОТО на распределение интенсивности и видимую форму диска.
19 марта 2012 года
Докладчик: А.П. Игошев
Тема: Популяционный синтез нейтронных звезд и новый взгляд на проблему убывания их магнитных полей.
Аннотация:
Была построена модель эволюции ансамбля радиопульсаров в Галактике, начиная от момента рождения их предшественников —
массивных OB звезд. В качестве начального распределения магнитных полей для пульсаров использовалось распределение
магнитных потоков OB звезд, построенное нами по опубликованным ранее измерениям. Наша модель близка к модели популяционного
синтеза, описанной в работе Faucher-Gigguere (2006). Однако, в отличие от этой работы, нами было проанализировано влияние
на эволюцию ансамбля галактических нейтронных звезд убывания магнитного поля. Кроме того, уточнены многие приближения,
которые используются при построении моделей популяционного синтеза. Значительной ревизии подверглась также классическая
для популяционного синтеза модель радио-светимости нейтронных звезд. Модельные функции распределения периодов и
производных периодов нейтронных звезд, а также другие характеристики ансамбля нейтронных звезд, полученные в нашей
модели популяционного синтеза, сравнивались с выборками пульсаров каталога ATNF.
Во второй части доклада будет рассказано о новом подходе к изучению убывания напряжённостей магнитных полей нейтронных
звёзд из анализа функции распределения числа пульсаров по их характеристическому возрасту. Истинный возраст звезд ансамбля
пульсаров Галактики определялся исходя из предположения о постоянстве скорости рождения пульсаров на протяжении последних
2Е8 лет. Найдены границы применимости метода. Предложенный метод протестирован при использовании выборок радиопульсаров,
сгенерированных в нашей модели популяционного синтеза для различных предположениях о скорости убывания магнитного поля
нейтронной звезды. Предложенный метод слабо чувствителен к начальному распределению магнитных полей и периодов пульсаров.
Из анализа данных каталога ATNF восстановлена функция убывания магнитного поля галактических нейтронных звезд.
12 марта 2012 года
Докладчик: В. В. Журавлёв
Тема: Транзиентный рост малых возмущений в тонких дисках
Аннотация:
Исследование механизмов переноса углового момента и/или генерации турбулентности в аккреционных дисках, их устойчивости, а также различного рода нестационарных явлений в них теоретически связано с анализом динамики возмущений на фоне общего усредненного потока. Мощным и традиционным инструментом для этого является спектральный анализ, иначе говоря — поиск т.н. собственных мод — вихрей и волн — каждый сорт которых обладает определенным набором частот и определенным дисперсионным соотношением.
Между тем, аккреционные диски являются в астрофизике наиболее ярким примером сдвигового течения — в том смысле, что градиент (d/dr) завихренности (rot v) отличен в них от нуля. Математически это означает, что динамический оператор, под действием которого эволюционируют возмущения, — ненормальный (non-normal).
Последний обладает не только собственными векторами, но и так называемыми сингулярными векторами, отличающимися от собственных. Физически это означает, что в сдвиговых потоках помимо привычных спектральных компонент возмущений ( ~ exp(-i\omega t + i k x) ) существуют и особые возмущения c другой динамикой. Обсуждению этих особых (или, как говорят, оптимальных) возмущений в некоторых моделях тонких астрофизических дисков и будет посвящен предстоящий доклад.
5 марта 2012 года
Докладчик: К. Л. Маланчев
Тема: Нестационарная дисковая аккреция в рентгеновских Новых.
Аннотация:
В рамках модели нестационарной дисковой аккреции на релятивистские звёзды исследуются кривые блеска рентгеновских Новых на их ниспадающих частях. На первой стадии аккреции водород полностью ионизован во всём диске и размер диска постоянен. Примерно через 30-70 дней после максимума рентгеновской светимости диска на его внешнем крае возникает зона с частично ионизированным водородом. В этой зоне появляется конвекция в направлении, перпендикулярном радиусу диска, которая эффективно увеличивает вязкость и темп аккреции, на кривой блеска образуется вторичный пик. На следующем этапе граница, отделяющая зону полной ионизации водорода от зоны с нейтральным водородом, начинает смещаться внутрь по радиусу диска. Характер спада кривой блеска изменяется.
Проведены сравнения расчетных кривых блеска с данными наблюдений для системы A0620-00.
27 февраля 2012 года
Докладчик: Д. А. Третьякова
Тема: Несингулярная космология в модели Бранса-Дикке с космологической постоянной.
Аннотация:
В настоящей работе мы обсуждаем новые решения вида "расширяющаяся Вселенная" в модели Бранса-Дикке с космологической постоянной. В рамках обсуждаемой модели предложен и обоснован аналитически космологический сценарий, при котором масштабный фактор не обращается в нуль при эволюции назад во времени, что соответствует отсутствию в прошлом космологической сингулярности. Полученные решения всюду регулярны и содержат лишь "отскок" масштабного фактора.
20 февраля 2012 года
Докладчик: Д. А. Бадьин
Тема: Проявления теплового излучения структур околозвёздного вещества в послесвечениях гамма-всплесков.
Аннотация:
Пользуясь модифицированным радиационно-гидродинамическим кодом SТELLA, мы провели расчёты теплового излучения структур околозвёздного вещества, нагретых излучением и выбросом гамма-всплеска. Установлено, что тепловое излучение, возникающее в нагретых плотных оболочках вокруг источника ГВ может воспроизводить свойства рентгеновских плато (наподобие наблюдавшихся у GRB 050904, 070110, 080810), отклонений от степенного затухания в оптике (сравнение проводилось с GRB 050904), и особенностей кривых блеска, называемых горбами сверхновых (SN-bump, у GRB 011121, 060218, 090618). Также обнаружено, что в течение нескольких дней после начала всплеска тепловое излучение может показывать степенной характер кривой блеска и отсутствие вариации цвета, что делает его поведение похожим на поведение синхротронного излучения.
13 февраля 2012 года
Докладчик: И. Золотухин (Парижская Обсерватория / ГАИШ МГУ)
Тема: Зависимость период–светимость для маломассивных рентгеновских двойных
систем в ближнем ИК диапазоне.
Аннотация:
В докладе показывается, что во многих случаях распределение энергии в
спектрах маломассивных рентгеновских двойных (LMXB) в ближнем
инфракрасном диапазоне может быть описано простой моделью облученного
аккреционного диска и звезды-компаньона, перерабатывающих
рентгеновское излучение центрального компактного объекта. Таким
образом, используя рентгеновскую светимость и абсолютную величину в
ближнем ИК, в рамках данной модели возможно сделать надежную оценку
орбитального периода системы. Для набора известных LMXB была построена
корреляция L_X, P_orb и M_K, разброс которой не превышает 0.3 зв.
величины. Данная зависимость, похожая на обнаруженную van Paradijs &
McClintock (1994) в оптическом диапазоне, может быть использована для
изучения популяции LXMB в будущих обзорах Галактики в рентгеновском и
ближнем ИК диапазонах (в частности, в обзорах, выполняющихся в
настоящее время на телескопе VISTA).
23 мая 2011 года
-
Докладчик: David Blaschke (BLTP and Univ. Wroclaw, Poland)
Тема: Recent surprises from observations of compact stars
Аннотация:
Compact stars provide insights into the nature of nuclear matter at
densities exceeding that of atomic nuclei (~2.4 10^14 g/cm^3).
In particular any extreme value of observables such as radius, mass,
and temperature, is likely to improve our understanding of the
properties of cold and dense matter substantially.
In this seminar, two spectacular observations of this kind made in
2010 will be explained together with their possible implications:
- The measurement of the Shapiro delay of pulses from
PSR J1614-2230, which allowed the determination of its mass to
1.97+/-0.04 M_sun and makes him the heaviest neutron star ever
observed with sufficient accuracy and confidence [1];
- The determination of the extreme cooling rate (4% drop
of surface temperature within 10 years) for the youngest neutron star
in our galaxy, situated in the supernova remnant Cassiopeia A [2,3].
[1] P. Demorest et al., Nature 467, 1081 (2010)
[2] C.O. Heinke and W.C.G. Ho, Astrophys. J. 719, L45 (2010)
[3]
W.C.G. Ho and C.O. Heinke, Nature 462, 71 (2009)
-
Докладчик: Д. Н. Раздобурдин
Тема: Транзиентный рост возмущений в астрофизических дисках.
Аннотация:
Несмотря на то, что существование турбулентности в аккреционных дисках
считается общепринятым, механизм возникновения турбулентности в
аккрецирующих потоках, в отсутствии магнитного поля, до сих пор не
выяснен. Хотя турбулентность является существенно нелинейным процессом,
рост малых возмущений в линейном приближении может указывать на начало
развития турбулентности. В докладе будет рассказано об исследовании
транзиентного роста (transient growth) энергии линейной комбинации
нейтральных собственных мод газового диска.
16 мая 2011 года
Докладчик: А. Г. Куранов
Тема: Отчет о работе в связи с переизбранием на должность научного сотрудника
Аннотация:
Будет представлен отчет о развитие программы популяционного синтеза «Машины Сценариев». Основные направления развития следующие:
- Уточнение и детализация эволюционного сценария. Современные теоретические исследования дают очень подробную и детальную информацию об эволюционных треках нормальных звезд. Осуществляется объединение программ «Машина Сценариев» и «Binary Stelar Evolution» (группа Hurley J.R., Tout C.A., Pols O.R., 2002);
- Эволюция двойной системы на фоне внешнего гравитационного поля (пересечение двойной системой диска Галактики, динамические взаимодействия звезд в шаровых скоплениях и вблизи центров галактик и т.п.).
18 апреля 2011 года
Докладчики: М.Е.Прохоров, А.И.Захаров, рабочая группа "Лира".
Тема: Современные звездные датчики ориентации.
Аннотация:
Серийно выпускаемые сегодня звездные датчики ориентации имеют точность не превышающую нескольких секунд дуги. Кроме того, эти датчики теряют работоспособность, если аппарат, на котором они установлены, достаточно быстро вращается.
В своём докладе я постараюсь ответить на следующие вопросы:
1). Почему точность современных звездных датчиков такая низкая?
2). Как её повысить?
3). Какую точность может иметь датчик с объективом диаметром 10 см?
4). При каких скоростях вращения датчик останется работоспособным,
если менять только алгоритмы его функционирования, но не менять
конструкцию? Какой точности можно достичь?
5). Что надо изменить в конструкции звездного датчика, чтобы он мог
работать при еще более быстром вращении?
11 апреля 2011 года
Докладчики: Анна Чашкина и Сергей Борисович Попов.
Тема: Оценки
магнитных полей аккрецирующих нейтронных звезд в массивных двойных
системах и сравнение с предсказаниями моделей затухания магнитных полей.
Аннотация:
Некоторые современные модели эволюции нейтронных звезд предсказывают, что изначально большие магнитные поля быстро затухают (на временах порядка 10^5 лет) до некоторого значения 2-3 * 10^13 Гс. Для начальных слабых магнитных полей распад незначителен (Pons et al, 2009).
Для проверки предсказания модели распада магнитных полей на шкале времени 10^5-10^7 лет в нашей работе было предложено использовать двойные рентгеновские системы с Be-звездами.
Рассмотрены различные методы оценки магнитного поля нейтронных
звезд в аккрецирующих системах с использованием данных, полученных со спутника
RXTE (Galache et al., 2005). Только с применением наиболее современного подхода
предложенного Шакурой и др. (2011) можно получить распределение поля согласующееся с предсказанием теоретических моделей распада поля.